ycliper

Популярное

Музыка Кино и Анимация Автомобили Животные Спорт Путешествия Игры Юмор

Интересные видео

2025 Сериалы Трейлеры Новости Как сделать Видеоуроки Diy своими руками

Топ запросов

смотреть а4 schoolboy runaway турецкий сериал смотреть мультфильмы эдисон
Скачать

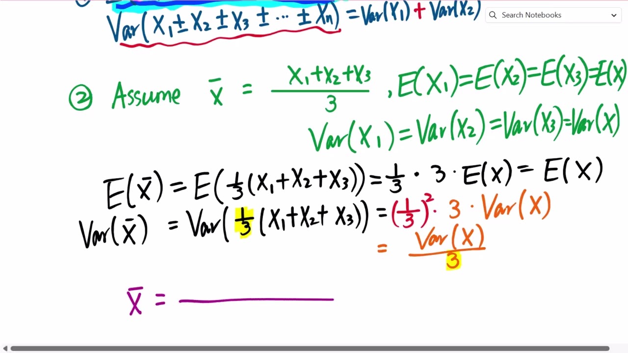
Topic 4 Linear Combinations of Random Variables (1)

Автор: Ms. Wu's Math Class

Загружено: 2025-11-26

Просмотров: 74

Описание: Linear Combinations of Random Variables

Не удается загрузить Youtube-плеер. Проверьте блокировку Youtube в вашей сети.
Повторяем попытку...
Topic 4 Linear Combinations of Random Variables (1)

Поделиться в:

Доступные форматы для скачивания:

Скачать видео

  • Информация по загрузке:

Скачать аудио

Похожие видео

Topic 4 Linear Combinations of Random Variables (2)

Topic 4 Linear Combinations of Random Variables (2)

Логарифмы с нуля за 20 МИНУТ! Introduction to logarithms.

Логарифмы с нуля за 20 МИНУТ! Introduction to logarithms.

Linearity of Expectation + Indicator Random Variables to find E[X] :

Linearity of Expectation + Indicator Random Variables to find E[X] : "TAs need a Vacation" Problem

L08.8 Normal Random Variables

L08.8 Normal Random Variables

Суть линейной алгебры: #12. Правило Крамера

Суть линейной алгебры: #12. Правило Крамера

А что если найти среднюю длину эллипса?

А что если найти среднюю длину эллипса?

Румынская математическая олимпиада

Румынская математическая олимпиада

Параметр с МОДУЛЕМ для ЕГЭ 2026 за 15 минут!

Параметр с МОДУЛЕМ для ЕГЭ 2026 за 15 минут!

Биномиальные распределения | Вероятности вероятностей, часть 1

Биномиальные распределения | Вероятности вероятностей, часть 1

Bernoulli and Binomial Random Variables

Bernoulli and Binomial Random Variables

Как решить функциональное уравнение

Как решить функциональное уравнение

Эти 9 AI Навыков Сделают Тебя Богатым в 2026

Эти 9 AI Навыков Сделают Тебя Богатым в 2026

Topic 4 Review for Linear Combination of Variables (6)

Topic 4 Review for Linear Combination of Variables (6)

L12.3 The Sum of Independent Continuous Random Variables

L12.3 The Sum of Independent Continuous Random Variables

Секретное оружие для прогнозирования результатов: биномиальное распределение

Секретное оружие для прогнозирования результатов: биномиальное распределение

Понимание исчисления (для инженеров)

Понимание исчисления (для инженеров)

Нормальное распределение ОБЪЯСНЕНО с примерами

Нормальное распределение ОБЪЯСНЕНО с примерами

Задача из вступительных Стэнфорда

Задача из вступительных Стэнфорда

L12.2 The Sum of Independent Discrete Random Variables

L12.2 The Sum of Independent Discrete Random Variables

Самое красивое уравнение

Самое красивое уравнение

© 2025 ycliper. Все права защищены.



  • Контакты
  • О нас
  • Политика конфиденциальности



Контакты для правообладателей: [email protected]