ycliper

Популярное

Музыка Кино и Анимация Автомобили Животные Спорт Путешествия Игры Юмор

Интересные видео

2025 Сериалы Трейлеры Новости Как сделать Видеоуроки Diy своими руками

Топ запросов

смотреть а4 schoolboy runaway турецкий сериал смотреть мультфильмы эдисон
Скачать

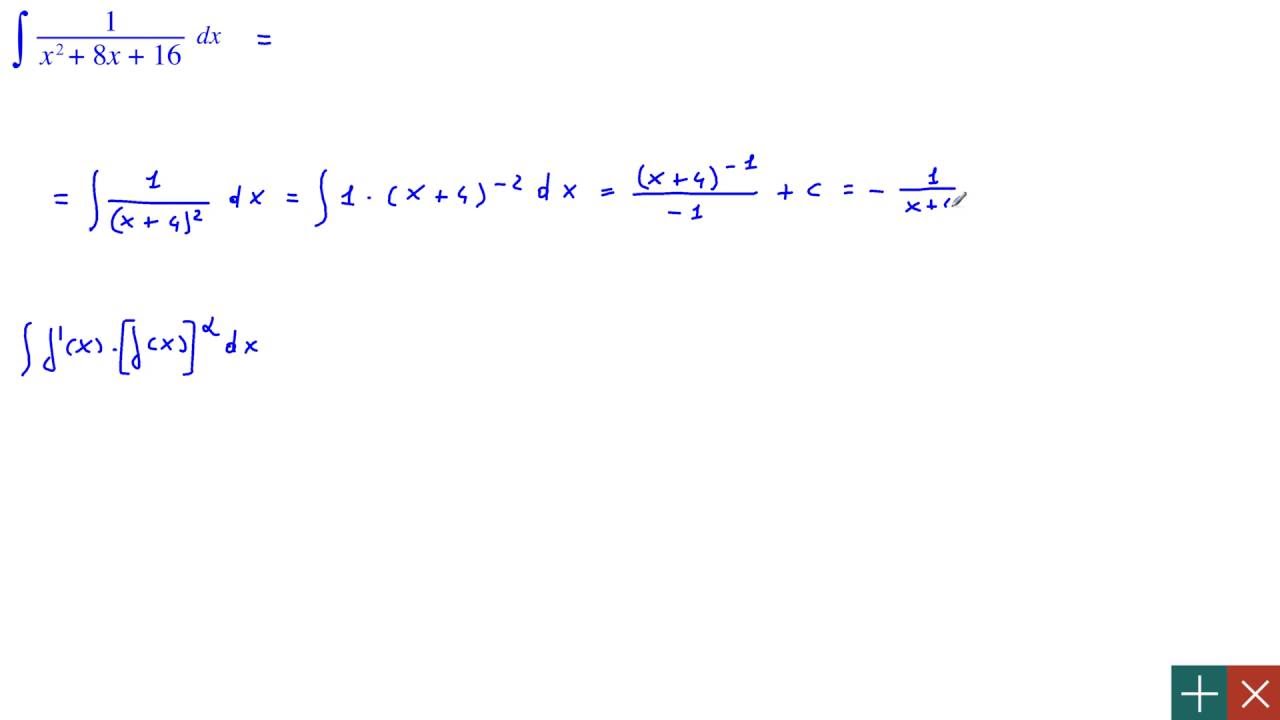
Quinto anno - Funzione frazionaria con denominatore di secondo grado - Discriminante nullo

Автор: lezionidimatePro

Загружено: 2016-08-04

Просмотров: 374

Описание: http://www.lezionidimate.it - Sito Web di riferimento. CLICCA QUI!
Quinto anno.
Funzione frazionaria con denominatore di secondo grado. Discriminante nullo.

Не удается загрузить Youtube-плеер. Проверьте блокировку Youtube в вашей сети.
Повторяем попытку...
Quinto anno - Funzione frazionaria con denominatore di secondo grado - Discriminante nullo

Поделиться в:

Доступные форматы для скачивания:

Скачать видео

  • Информация по загрузке:

Скачать аудио

Похожие видео

12 монет Головоломка

12 монет Головоломка

Quinto anno - Distribuzione binomiale (2)

Quinto anno - Distribuzione binomiale (2)

Quinto anno - Funzione frazionaria con denominatore di secondo grado - Discriminante positivo

Quinto anno - Funzione frazionaria con denominatore di secondo grado - Discriminante positivo

Integrazione di Funzioni Razionali Fratte con Delta 0

Integrazione di Funzioni Razionali Fratte con Delta 0

Quinto anno - Funzione frazionaria con denominatore di secondo grado - Discriminante negativo

Quinto anno - Funzione frazionaria con denominatore di secondo grado - Discriminante negativo

INTEGRALI !

INTEGRALI !

Олимпиадная Задача на Упрощение | Как Избежать Ловушек в Виде Квадратных Корней и Дробных Выражений

Олимпиадная Задача на Упрощение | Как Избежать Ловушек в Виде Квадратных Корней и Дробных Выражений

Самый короткий тест на интеллект Задача Массачусетского профессора

Самый короткий тест на интеллект Задача Массачусетского профессора

Integrali di Funzioni Razionali Fratte con Delta Positivo

Integrali di Funzioni Razionali Fratte con Delta Positivo

Integrale-indefinito-delta-minore-zero-c

Integrale-indefinito-delta-minore-zero-c

Integrali

Integrali

Почему любители часто круче «профессионалов»?

Почему любители часто круче «профессионалов»?

6 - Integrali indefiniti - Funzioni fratte - Denominatore 2 grado (delta negativo)

6 - Integrali indefiniti - Funzioni fratte - Denominatore 2 grado (delta negativo)

Komentarz Tygodnia: Jak Niemcy zrobili z nas Grenlandie - Witold Gadowski

Komentarz Tygodnia: Jak Niemcy zrobili z nas Grenlandie - Witold Gadowski

Integrali di funzioni fratte: DENOMINATORE DI GRADO SUPERIORE AL SECONDO

Integrali di funzioni fratte: DENOMINATORE DI GRADO SUPERIORE AL SECONDO

Only 10% Students Solve this exponential math olympiad question | 2^t =t^32 |

Only 10% Students Solve this exponential math olympiad question | 2^t =t^32 |

La formula degli integrali che vi salva la vita con il delta negativo a denominatore!

La formula degli integrali che vi salva la vita con il delta negativo a denominatore!

Integrali funzioni fratte - denominatore 2° grado e discriminante positivo - 1

Integrali funzioni fratte - denominatore 2° grado e discriminante positivo - 1

Почему зарядка после 60 ускоряет потерю мышц? Парадокс сардинских долгожителей | ЗДОРОВЬЕ ДАРОМ

Почему зарядка после 60 ускоряет потерю мышц? Парадокс сардинских долгожителей | ЗДОРОВЬЕ ДАРОМ

5 - Integrali indefiniti - Funzioni fratte - Denominatore 2 grado (delta nullo)

5 - Integrali indefiniti - Funzioni fratte - Denominatore 2 grado (delta nullo)

© 2025 ycliper. Все права защищены.



  • Контакты
  • О нас
  • Политика конфиденциальности



Контакты для правообладателей: [email protected]