ycliper

Популярное

Музыка Кино и Анимация Автомобили Животные Спорт Путешествия Игры Юмор

Интересные видео

2025 Сериалы Трейлеры Новости Как сделать Видеоуроки Diy своими руками

Топ запросов

смотреть а4 schoolboy runaway турецкий сериал смотреть мультфильмы эдисон
Скачать

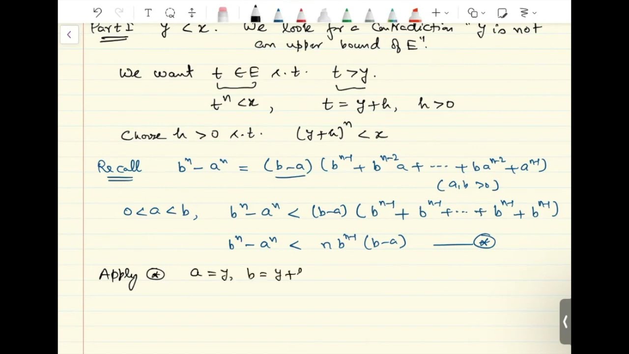
Existence of n^th Root of a positive real number

Автор: Gaurav Dwivedi

Загружено: 2022-09-08

Просмотров: 470

Описание: This video contains a proof of the existence of n^th root of a positive real number.

Не удается загрузить Youtube-плеер. Проверьте блокировку Youtube в вашей сети.
Повторяем попытку...
Existence of n^th Root of a positive real number

Поделиться в:

Доступные форматы для скачивания:

Скачать видео

  • Информация по загрузке:

Скачать аудио

Похожие видео

Y^n =x for unique y and x|| Uniqueness of nth root of real number

Y^n =x for unique y and x|| Uniqueness of nth root of real number

4. Theorem 1.21 | Existence of nth roots of positive reals.

4. Theorem 1.21 | Existence of nth roots of positive reals.

Math 131 Spring 2024 (Principles of Mathematical Analysis)

Math 131 Spring 2024 (Principles of Mathematical Analysis)

Для Чего РЕАЛЬНО Нужен был ГОРБ Boeing 747?

Для Чего РЕАЛЬНО Нужен был ГОРБ Boeing 747?

🧪🧪🧪🧪Как увидеть гиперпространство (4-е измерение)

🧪🧪🧪🧪Как увидеть гиперпространство (4-е измерение)

Румынская математическая олимпиада

Румынская математическая олимпиада

Но что такое нейронная сеть? | Глава 1. Глубокое обучение

Но что такое нейронная сеть? | Глава 1. Глубокое обучение

Комплексные числа. Как мнимое стало реальным // Vital Math

Комплексные числа. Как мнимое стало реальным // Vital Math

Гипотеза Пуанкаре — Алексей Савватеев на ПостНауке

Гипотеза Пуанкаре — Алексей Савватеев на ПостНауке

Existence of a positive real number with square 2

Existence of a positive real number with square 2

Суть линейной алгебры: #7. Обратные матрицы, пространство столбцов и нуль-пространство

Суть линейной алгебры: #7. Обратные матрицы, пространство столбцов и нуль-пространство

Real Analysis, Lecture 3 (Existence of nth roots and real powers)

Real Analysis, Lecture 3 (Existence of nth roots and real powers)

Теорема Байеса, геометрия изменения убеждений

Теорема Байеса, геометрия изменения убеждений

С чего начать высшую математику?

С чего начать высшую математику?

Квантовая механика: мир, который ты никогда не поймешь | Level One

Квантовая механика: мир, который ты никогда не поймешь | Level One

✓ Введение в математический анализ. Множество действительных чисел | матан #001 | Борис Трушин

✓ Введение в математический анализ. Множество действительных чисел | матан #001 | Борис Трушин

Q is dense in R

Q is dense in R

Суть линейной алгебры: #13. Смена базиса [3Blue1Brown]

Суть линейной алгебры: #13. Смена базиса [3Blue1Brown]

Зачем нужны синусы и косинусы?

Зачем нужны синусы и косинусы?

For any positive real x and positive integer n, x has unique nth root. Lec-23

For any positive real x and positive integer n, x has unique nth root. Lec-23

© 2025 ycliper. Все права защищены.



  • Контакты
  • О нас
  • Политика конфиденциальности



Контакты для правообладателей: [email protected]