ycliper

Популярное

Музыка Кино и Анимация Автомобили Животные Спорт Путешествия Игры Юмор

Интересные видео

2025 Сериалы Трейлеры Новости Как сделать Видеоуроки Diy своими руками

Топ запросов

смотреть а4 schoolboy runaway турецкий сериал смотреть мультфильмы эдисон
Скачать

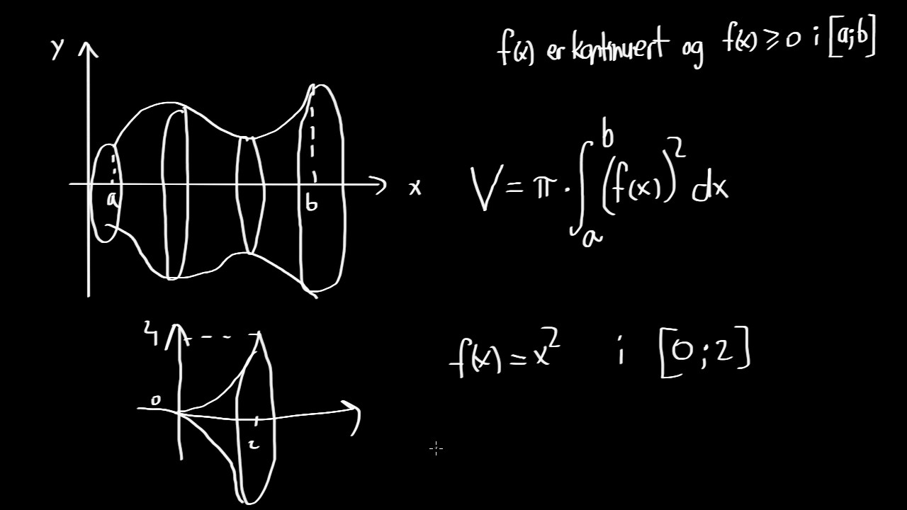
Kontinuitet og differentiabilitet

kontinuitet

differentiabilitet

Автор: Matematikmanden

Загружено: 2013-06-22

Просмотров: 2479

Описание: Gennemgang af begreberne kontinuitet og differentiabilitet

Не удается загрузить Youtube-плеер. Проверьте блокировку Youtube в вашей сети.
Повторяем попытку...
Kontinuitet og differentiabilitet

Поделиться в:

Доступные форматы для скачивания:

Скачать видео

  • Информация по загрузке:

Скачать аудио

Похожие видео

Bevis Omdrejningslegeme

Bevis Omdrejningslegeme

Norm ford bevis

Norm ford bevis

udledning af cirklens parameterfremstilling

udledning af cirklens parameterfremstilling

Sumkurver Nspire

Sumkurver Nspire

K Omdrejningslegemer

K Omdrejningslegemer

Zapomniane historyczne kadry, które miały nigdy nie ujrzeć światła dziennego

Zapomniane historyczne kadry, które miały nigdy nie ujrzeć światła dziennego

Ukraina zrobiła coś NIEWIARYGODNEGO w Pokrowsku… Rosja nie ma szans!

Ukraina zrobiła coś NIEWIARYGODNEGO w Pokrowsku… Rosja nie ma szans!

Masz to w kuchni?! To po cichu niszczy Twoje nerki!

Masz to w kuchni?! To po cichu niszczy Twoje nerki!

NADUŻYCIA I SEKSSKANDALE. BYŁY KSIĄŻĘ, PRZYJACIEL EPSTEINA, BRAT KAROLA III

NADUŻYCIA I SEKSSKANDALE. BYŁY KSIĄŻĘ, PRZYJACIEL EPSTEINA, BRAT KAROLA III

ARMIA PUTINA DRUGĄ ARMIĄ ŚWIATA? PRAWDZIWA SIŁA ROSJI [WOLSKI I BOJKE]

ARMIA PUTINA DRUGĄ ARMIĄ ŚWIATA? PRAWDZIWA SIŁA ROSJI [WOLSKI I BOJKE]

1 SKŁADNIK, 3 DANIA - Makaron, zupa, ryba - co zrobić z MISO

1 SKŁADNIK, 3 DANIA - Makaron, zupa, ryba - co zrobić z MISO

Japonia wkracza do wojny: Katastrofa Putina za 32 miliardy!

Japonia wkracza do wojny: Katastrofa Putina za 32 miliardy!

Solving a 'Harvard' University entrance exam - Find m?

Solving a 'Harvard' University entrance exam - Find m?

Boksplot Nspire

Boksplot Nspire

Kozubel & Meissner - Armia Putina z poważnymi problemami. Potrzebni nowi rekruci na już!

Kozubel & Meissner - Armia Putina z poważnymi problemami. Potrzebni nowi rekruci na już!

Ukryte głęboko w Rosji – BEZCENNY cel trafiony przez Ukrainę! | WOJNA NA UKRAINIE

Ukryte głęboko w Rosji – BEZCENNY cel trafiony przez Ukrainę! | WOJNA NA UKRAINIE

Nie Wiedział Że To Był Bruce Lee — Dowódca Wybrał Złego Człowieka By Zademonstrować Swoją Technikę

Nie Wiedział Że To Był Bruce Lee — Dowódca Wybrał Złego Człowieka By Zademonstrować Swoją Technikę

A  awesome algebra mathematics problem | Math Olympiad  | Can you solve this?

A awesome algebra mathematics problem | Math Olympiad | Can you solve this?

Express Republiki 20.02.2026 | TV Republika

Express Republiki 20.02.2026 | TV Republika

Why Returning From Mars ls Impossible - Richard Feynman's Warning

Why Returning From Mars ls Impossible - Richard Feynman's Warning

© 2025 ycliper. Все права защищены.



  • Контакты
  • О нас
  • Политика конфиденциальности



Контакты для правообладателей: [email protected]