ycliper

Популярное

Музыка Кино и Анимация Автомобили Животные Спорт Путешествия Игры Юмор

Интересные видео

2025 Сериалы Трейлеры Новости Как сделать Видеоуроки Diy своими руками

Топ запросов

смотреть а4 schoolboy runaway турецкий сериал смотреть мультфильмы эдисон
Скачать

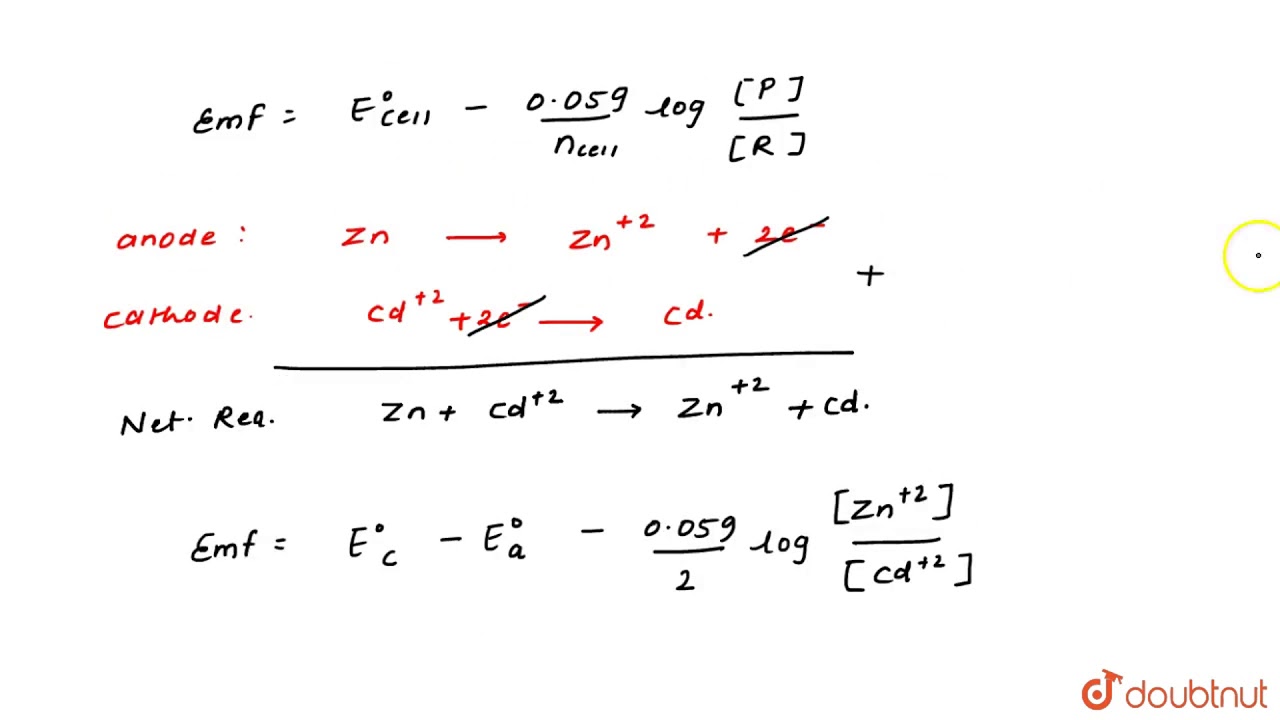
Calculate the cell e.m.f. and `DeltaG` for the cell reaction at 298K for the cell. `Zn(s) | Zn^(2+)

Автор: Doubtnut

Загружено: 2020-02-08

Просмотров: 3433

Описание: Calculate the cell e.m.f. and `DeltaG` for the cell reaction at 298K for the cell. `Zn(s) | Zn^(2+) (0.0004M) ||Cd^(2+) (0.2M)|Cd(s)` Given, `E_(Zn^(2+)//Zn)^(@) =- 0.763 V, E_(Cd^(+2)//Cd)^(@) = - 0.403 V` at `298K`. `F = 96500 C mol^(-1)`.

Не удается загрузить Youtube-плеер. Проверьте блокировку Youtube в вашей сети.
Повторяем попытку...
Calculate the cell e.m.f. and `DeltaG` for the cell reaction at 298K for the cell. `Zn(s) | Zn^(2+)

Поделиться в:

Доступные форматы для скачивания:

Скачать видео

  • Информация по загрузке:

Скачать аудио

Похожие видео

Потенциал ячейки и свободная энергия Гиббса, стандартные восстановительные потенциалы, проблемы э...

Потенциал ячейки и свободная энергия Гиббса, стандартные восстановительные потенциалы, проблемы э...

Стехиометрия – предельный и избыточный реагент, теоретический и процентный выход – химия

Стехиометрия – предельный и избыточный реагент, теоретический и процентный выход – химия

Redox Reactions 04 ||Balancing a Chemical Equation By Oxidation Number Method IIT JEE MAINS /NEET

Redox Reactions 04 ||Balancing a Chemical Equation By Oxidation Number Method IIT JEE MAINS /NEET

Cell Potential Problems - Electrochemistry

Cell Potential Problems - Electrochemistry

Что такое СПИН? спин 1/2 и 3/2

Что такое СПИН? спин 1/2 и 3/2

Урок 2. Обратная матрица: метод Гаусса, алгебраическое дополнение | Высшая математика | TutorOnline

Урок 2. Обратная матрица: метод Гаусса, алгебраическое дополнение | Высшая математика | TutorOnline

Химия - просто.  Урок 1

Химия - просто. Урок 1 "ПСЭ"

Как Учиться В 2 Раза Быстрее С Техникой Фейнмана (Пример)

Как Учиться В 2 Раза Быстрее С Техникой Фейнмана (Пример)

Electrochemistry - NCERT Intext Questions (Que. 1 to 7) | Class 12 Chemistry Ch 2 | CBSE 2025-26

Electrochemistry - NCERT Intext Questions (Que. 1 to 7) | Class 12 Chemistry Ch 2 | CBSE 2025-26

Задача из вступительных Стэнфорда

Задача из вступительных Стэнфорда

⚡️ ВСУ экстренно запросили помощь || Зеленскому приказали капитулировать

⚡️ ВСУ экстренно запросили помощь || Зеленскому приказали капитулировать

30 самых прекрасных классических произведений для души и сердца 🎵 Моцарт, Бах, Бетховен, Шопен

30 самых прекрасных классических произведений для души и сердца 🎵 Моцарт, Бах, Бетховен, Шопен

Закон Бернулли

Закон Бернулли

Current Electricity 10 : Cells, EMF , Internal Resistance and Terminal Voltage JEE MAINS/NEET

Current Electricity 10 : Cells, EMF , Internal Resistance and Terminal Voltage JEE MAINS/NEET

Погладь кота! Оживляем Ягуар XF 2014г.

Погладь кота! Оживляем Ягуар XF 2014г.

Для Чего РЕАЛЬНО Нужен был ГОРБ Boeing 747?

Для Чего РЕАЛЬНО Нужен был ГОРБ Boeing 747?

CBSE Class 12 | Chemistry | Electrochemistry One Shot Revision | Learn and Fun | Ashu Sir

CBSE Class 12 | Chemistry | Electrochemistry One Shot Revision | Learn and Fun | Ashu Sir

Что происходит с нейросетью во время обучения?

Что происходит с нейросетью во время обучения?

Атомные спектры | Физика | Академия Хана

Атомные спектры | Физика | Академия Хана

🧪🧪🧪🧪Как увидеть гиперпространство (4-е измерение)

🧪🧪🧪🧪Как увидеть гиперпространство (4-е измерение)

© 2025 ycliper. Все права защищены.



  • Контакты
  • О нас
  • Политика конфиденциальности



Контакты для правообладателей: [email protected]