ycliper

Популярное

Музыка Кино и Анимация Автомобили Животные Спорт Путешествия Игры Юмор

Интересные видео

2025 Сериалы Трейлеры Новости Как сделать Видеоуроки Diy своими руками

Топ запросов

смотреть а4 schoolboy runaway турецкий сериал смотреть мультфильмы эдисон
Скачать

Formas cuadráticas y matrices simétricas

Автор: Laura Hidalgo

Загружено: 2021-02-27

Просмотров: 629

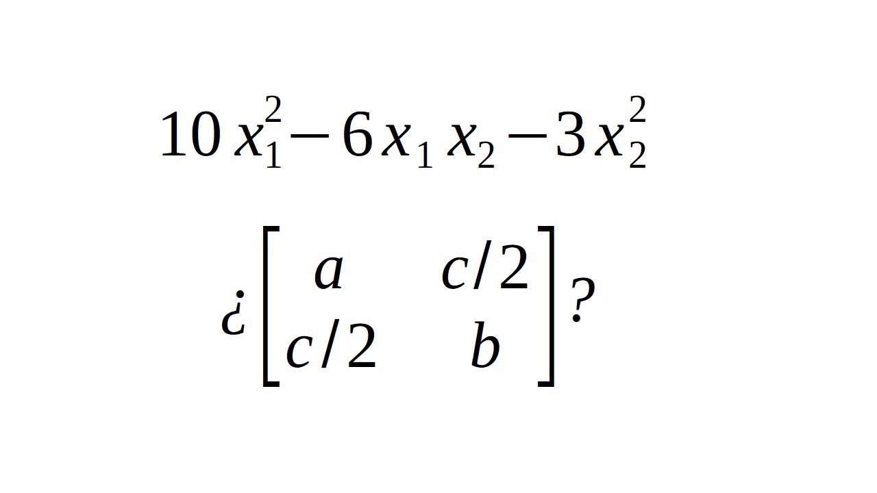
Описание: En el video "Formas cuadráticas y matrices simétricas" vemos que, a toda ecuación cuadrática, con coeficientes reales, se le puede asociar una forma cuadrática y, a esta, una matriz simétrica. Como consecuencia de lo estudiado anteriormente, toda matriz simétrica con coeficientes reales es diagonalizable sobre el campo real, y en particular, existe una matriz ortogonal de cambio de base que permite diagonalizar la matriz asociada a la forma cuadrática. Aún mas, esta matriz ortogonal permite dar el cambio de coordenadas para identificar el tipo de cónica en el plano, o superficie cuadrática en el espacio, que se está estudiando.

Не удается загрузить Youtube-плеер. Проверьте блокировку Youtube в вашей сети.
Повторяем попытку...
Formas cuadráticas y matrices simétricas

Поделиться в:

Доступные форматы для скачивания:

Скачать видео

  • Информация по загрузке:

Скачать аудио

Похожие видео

Forma canónica de Jordan y  ecuaciones diferenciales lineales

Forma canónica de Jordan y ecuaciones diferenciales lineales

Álgebra 28: Matrices simétricas y formas cuadráticas 1

Álgebra 28: Matrices simétricas y formas cuadráticas 1

Vectores y valores propios 2

Vectores y valores propios 2

Диагонализация матриц за 4 шага: ПОЛНОЕ ОБЪЯСНЕНИЕ

Диагонализация матриц за 4 шага: ПОЛНОЕ ОБЪЯСНЕНИЕ

Барри Мазур | О гипотезах Берча и Свиннертона-Дайера

Барри Мазур | О гипотезах Берча и Свиннертона-Дайера

Formas Cuadráticas y secciones cónicas

Formas Cuadráticas y secciones cónicas

Суть линейной алгебры: #13. Смена базиса [3Blue1Brown]

Суть линейной алгебры: #13. Смена базиса [3Blue1Brown]

Вот как читать дифференциальные уравнения.

Вот как читать дифференциальные уравнения.

Векторные произведения с учетом линейных преобразований | Глава 11. Сущность линейной алгебры

Векторные произведения с учетом линейных преобразований | Глава 11. Сущность линейной алгебры

ЭТО ИМБА!!! выглядит УЖАСНО, решается за 10 МИНУТ

ЭТО ИМБА!!! выглядит УЖАСНО, решается за 10 МИНУТ

Clase 26 - Aplicaciones a formas cuadráticas

Clase 26 - Aplicaciones a formas cuadráticas

Быстрый трюк для вычисления собственных значений | Глава 15. Сущность линейной алгебры

Быстрый трюк для вычисления собственных значений | Глава 15. Сущность линейной алгебры

Diagonalización ortogonal de matrices simétricas

Diagonalización ortogonal de matrices simétricas

Formas Cuadraticas

Formas Cuadraticas

🧪🧪🧪🧪Как увидеть гиперпространство (4-е измерение)

🧪🧪🧪🧪Как увидеть гиперпространство (4-е измерение)

Encuentra la matriz de la forma cuadrática 1 - Algebra Lineal - ALG/7.2/2.1

Encuentra la matriz de la forma cuadrática 1 - Algebra Lineal - ALG/7.2/2.1

МАТЕМАТИКА НА ФОНЕ КУАЛА-ЛУМПУРА. РЕШАЕМ ОЛИМПИАДНЫЕ ЗАДАЧИ

МАТЕМАТИКА НА ФОНЕ КУАЛА-ЛУМПУРА. РЕШАЕМ ОЛИМПИАДНЫЕ ЗАДАЧИ

Суть линейной алгебры: #12. Правило Крамера

Суть линейной алгебры: #12. Правило Крамера

Проблема нержавеющей стали

Проблема нержавеющей стали

Vectores propios y valores propios | Esencia del álgebra lineal, capítulo 10

Vectores propios y valores propios | Esencia del álgebra lineal, capítulo 10

© 2025 ycliper. Все права защищены.



  • Контакты
  • О нас
  • Политика конфиденциальности



Контакты для правообладателей: [email protected]