ycliper

Популярное

Музыка Кино и Анимация Автомобили Животные Спорт Путешествия Игры Юмор

Интересные видео

2025 Сериалы Трейлеры Новости Как сделать Видеоуроки Diy своими руками

Топ запросов

смотреть а4 schoolboy runaway турецкий сериал смотреть мультфильмы эдисон
Скачать

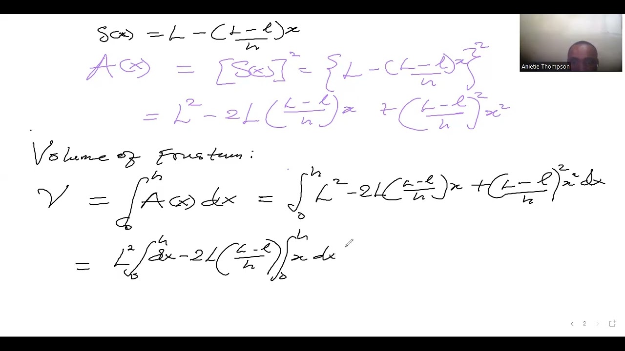
Deriving the Volume of a Pyramid Frustum Using Calculus

Автор: MathRealm

Загружено: 2025-09-23

Просмотров: 8

Описание: Watch as I use integral calculus to derive the volume formula for a pyramid frustum from first principles. A clean and intuitive approach!
#coordinategeometry
#maths #education

Не удается загрузить Youtube-плеер. Проверьте блокировку Youtube в вашей сети.
Повторяем попытку...
Deriving the Volume of a Pyramid Frustum Using Calculus

Поделиться в:

Доступные форматы для скачивания:

Скачать видео

  • Информация по загрузке:

Скачать аудио

Похожие видео

Gamma Distribution | Mean and Variance Explained Step by Step

Gamma Distribution | Mean and Variance Explained Step by Step

Ziemkiewicz o Hołowni: zrobili z niego psychopatę, bo podskoczył Tuskowi!

Ziemkiewicz o Hołowni: zrobili z niego psychopatę, bo podskoczył Tuskowi!

The Final KILLER Maths GCSE Question | Could YOU solve it?

The Final KILLER Maths GCSE Question | Could YOU solve it?

Тригонометрия

Тригонометрия

Statistics Explained in Minutes

Statistics Explained in Minutes

Все Функции и Графики: Прямая, Парабола, Гипербола, Окружность, Корень, Модули, Сдвиги для Чайников

Все Функции и Графики: Прямая, Парабола, Гипербола, Окружность, Корень, Модули, Сдвиги для Чайников

Блэкаут в Украине и Молдове, В Иране началось? Кадыров простил Керимова. Галлямов, Крутихин, Левиев

Блэкаут в Украине и Молдове, В Иране началось? Кадыров простил Керимова. Галлямов, Крутихин, Левиев

Геометрическая Волновая Инженерия. Часть 2. Псевдоповерхности

Геометрическая Волновая Инженерия. Часть 2. Псевдоповерхности

Трамп отдал приказ / Новая операция США

Трамп отдал приказ / Новая операция США

Smooth Jazz & Soul R&B 24/7 – Soul Flow Instrumentals

Smooth Jazz & Soul R&B 24/7 – Soul Flow Instrumentals

✓ Тригонометрия: с нуля и до ЕГЭ | #ТрушинLive #030 | Борис Трушин

✓ Тригонометрия: с нуля и до ЕГЭ | #ТрушинLive #030 | Борис Трушин

What we learned from the 3-body problem

What we learned from the 3-body problem

Вся IT-база в ОДНОМ видео: Память, Процессор, Код

Вся IT-база в ОДНОМ видео: Память, Процессор, Код

4 Hours Chopin for Studying, Concentration & Relaxation

4 Hours Chopin for Studying, Concentration & Relaxation

Если у тебя спросили «Как твои дела?» — НЕ ГОВОРИ! Ты теряешь свою силу | Еврейская мудрость

Если у тебя спросили «Как твои дела?» — НЕ ГОВОРИ! Ты теряешь свою силу | Еврейская мудрость

Все типы 11 задания: ГРАФИКИ функций с нуля до ЕГЭ 2026 | Математика ЕГЭ профиль | Умскул

Все типы 11 задания: ГРАФИКИ функций с нуля до ЕГЭ 2026 | Математика ЕГЭ профиль | Умскул

Музыка лечит сердце и сосуды🌸 Успокаивающая музыка восстанавливает нервную систему,расслабляющая

Музыка лечит сердце и сосуды🌸 Успокаивающая музыка восстанавливает нервную систему,расслабляющая

Smooth Jazz & Soulful R&B Instrumental – Chill Background Music for Relaxing

Smooth Jazz & Soulful R&B Instrumental – Chill Background Music for Relaxing

Четыре коротких увлекательных фильма о физике и математике

Четыре коротких увлекательных фильма о физике и математике

4 часа Шопена для обучения, концентрации и релаксации

4 часа Шопена для обучения, концентрации и релаксации

© 2025 ycliper. Все права защищены.



  • Контакты
  • О нас
  • Политика конфиденциальности



Контакты для правообладателей: [email protected]