ycliper

Популярное

Музыка Кино и Анимация Автомобили Животные Спорт Путешествия Игры Юмор

Интересные видео

2025 Сериалы Трейлеры Новости Как сделать Видеоуроки Diy своими руками

Топ запросов

смотреть а4 schoolboy runaway турецкий сериал смотреть мультфильмы эдисон
Скачать

Правда о параболе, которую от вас скрывали.

парабола

почему парабола

фокус параболы

почему парабола кривая

егэ

ЕГЭ 2018

почему парабола фокусирует

Где находится фокус параболы

Автор: ЕГЭ без боли

Загружено: 2017-10-24

Просмотров: 535

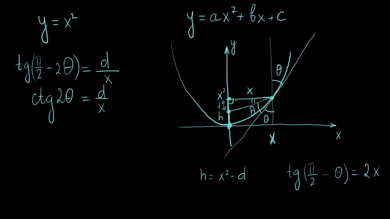
Описание: У параболы есть фокус. Почему-то люди об этом не знают. В этом видео я рассказываю об этом максимально просто.
Люди должны знать правду! Помогите распространить это видео!

Канал standupmaths:    / standupmaths  

Не удается загрузить Youtube-плеер. Проверьте блокировку Youtube в вашей сети.
Повторяем попытку...
Правда о параболе, которую от вас скрывали.

Поделиться в:

Доступные форматы для скачивания:

Скачать видео

  • Информация по загрузке:

Скачать аудио

Похожие видео

Где ПАРАБОЛА пригодится в жизни?

Где ПАРАБОЛА пригодится в жизни?

Эллипс, парабола и гипербола. Конические сечения | Ботай со мной #055 | Борис Трушин |

Эллипс, парабола и гипербола. Конические сечения | Ботай со мной #055 | Борис Трушин |

Как найти ФОКУС параболы?

Как найти ФОКУС параболы?

Трансформатор - как работает и как устроен?

Трансформатор - как работает и как устроен?

Где начало СХЕМЫ? Понимаем, читаем, изучаем схемы. Понятное объяснение!

Где начало СХЕМЫ? Понимаем, читаем, изучаем схемы. Понятное объяснение!

Фокусы параболы или что общего между фонариком и тарелкой?

Фокусы параболы или что общего между фонариком и тарелкой?

СВОЙСТВА ПАРАБОЛЫ: как они объясняют работу разных устройств #геометрия

СВОЙСТВА ПАРАБОЛЫ: как они объясняют работу разных устройств #геометрия

Лижут ли Вас Собаки? ВОТ ЧТО ЭТО ЗНАЧИТ (вас шокирует)!

Лижут ли Вас Собаки? ВОТ ЧТО ЭТО ЗНАЧИТ (вас шокирует)!

✓ Новая формула площади прямоугольного треугольника | Ботай со мной #159 | Борис Трушин

✓ Новая формула площади прямоугольного треугольника | Ботай со мной #159 | Борис Трушин

Пожалуй, главное заблуждение об электричестве [Veritasium]

Пожалуй, главное заблуждение об электричестве [Veritasium]

Всё о квадратичной функции. Парабола | Математика TutorOnline

Всё о квадратичной функции. Парабола | Математика TutorOnline

ИССЛЕДОВАНИЕ ПАРАБОЛЫ

ИССЛЕДОВАНИЕ ПАРАБОЛЫ

Парадокс разгибания кривой доски

Парадокс разгибания кривой доски

Гипотеза Пуанкаре — Алексей Савватеев на ПостНауке

Гипотеза Пуанкаре — Алексей Савватеев на ПостНауке

Вычисление фокуса параболы

Вычисление фокуса параболы

Почему зарядка после 60 ускоряет потерю мышц? Парадокс сардинских долгожителей | ЗДОРОВЬЕ ДАРОМ

Почему зарядка после 60 ускоряет потерю мышц? Парадокс сардинских долгожителей | ЗДОРОВЬЕ ДАРОМ

🧪🧪🧪🧪Как увидеть гиперпространство (4-е измерение)

🧪🧪🧪🧪Как увидеть гиперпространство (4-е измерение)

Zвёзды по блату: как путинская элита захватила шоу-бизнес

Zвёзды по блату: как путинская элита захватила шоу-бизнес

1*Парабола.Построение графика по 5 точкам

1*Парабола.Построение графика по 5 точкам

Касательная к параболе

Касательная к параболе

© 2025 ycliper. Все права защищены.



  • Контакты
  • О нас
  • Политика конфиденциальности



Контакты для правообладателей: [email protected]