ycliper

Популярное

Музыка Кино и Анимация Автомобили Животные Спорт Путешествия Игры Юмор

Интересные видео

2025 Сериалы Трейлеры Новости Как сделать Видеоуроки Diy своими руками

Топ запросов

смотреть а4 schoolboy runaway турецкий сериал смотреть мультфильмы эдисон
Скачать

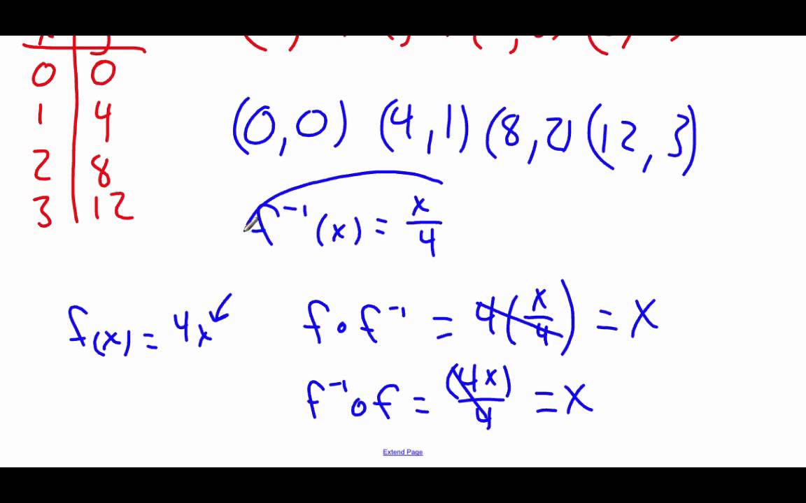
Precalc 1.9 Обратные функции

Автор: SupernovaMath

Загружено: 2018-08-21

Просмотров: 701

Описание: В этом видео рассматривается урок 1.9 по проверке обратных функций и нахождению обратных функций.

Не удается загрузить Youtube-плеер. Проверьте блокировку Youtube в вашей сети.
Повторяем попытку...
Precalc 1.9 Обратные функции

Поделиться в:

Доступные форматы для скачивания:

Скачать видео

  • Информация по загрузке:

Скачать аудио

Похожие видео

Precalc 1.10 Day 2 Variation

Precalc 1.10 Day 2 Variation

Предварительный анализ 2.6: Рациональные функции, часть 1

Предварительный анализ 2.6: Рациональные функции, часть 1

Precalc 1.8 Combinations of Functions

Precalc 1.8 Combinations of Functions

Inverse Functions - Domain & range-  With Fractions, Square Roots, & Graphs

Inverse Functions - Domain & range- With Fractions, Square Roots, & Graphs

Предварительная подготовка к высшей математике 1.4 Функции

Предварительная подготовка к высшей математике 1.4 Функции

Квадратичная функция и ее график. 8 класс.

Квадратичная функция и ее график. 8 класс.

Это был полный П***Ц! Этот ПАРАМЕТР не решил НИКТО | ЕГЭ 2025

Это был полный П***Ц! Этот ПАРАМЕТР не решил НИКТО | ЕГЭ 2025

1-7 Обратные функции и отношения | Введение в исчисление | Ember Learning Labs

1-7 Обратные функции и отношения | Введение в исчисление | Ember Learning Labs

Обратные логарифмические функции — PreCalculus

Обратные логарифмические функции — PreCalculus

Pre-Calculus 1.9: Inverse Functions part 1

Pre-Calculus 1.9: Inverse Functions part 1

Решение системы линейных неравенств с одной переменной. 6 класс.

Решение системы линейных неравенств с одной переменной. 6 класс.

Pre-Calculus 1.8: Combinations of Functions and Composite Functions

Pre-Calculus 1.8: Combinations of Functions and Composite Functions

Твои 70 баллов за 15 минут. Задачи первой части. Профильный ЕГЭ 2025

Твои 70 баллов за 15 минут. Задачи первой части. Профильный ЕГЭ 2025

Как найти область определения функции | Подготовка к высшей математике

Как найти область определения функции | Подготовка к высшей математике

Pre-Calculus - Find the Inverse of a Function

Pre-Calculus - Find the Inverse of a Function

ГРАФИКА для решения ПАРАМЕТРОВ. НЕ решай это аналитикой!

ГРАФИКА для решения ПАРАМЕТРОВ. НЕ решай это аналитикой!

Introduction to Inverse Functions

Introduction to Inverse Functions

Преподы в ШОКЕ! ИЛЬИЧ получил 2 БАЛЛА за неравенство на ЕГЭ2024

Преподы в ШОКЕ! ИЛЬИЧ получил 2 БАЛЛА за неравенство на ЕГЭ2024

Самая Сложная Задача В Истории Самой Сложной Олимпиады

Самая Сложная Задача В Истории Самой Сложной Олимпиады

Finding the inverse of a function

Finding the inverse of a function

© 2025 ycliper. Все права защищены.



  • Контакты
  • О нас
  • Политика конфиденциальности



Контакты для правообладателей: [email protected]