ycliper

Популярное

Музыка Кино и Анимация Автомобили Животные Спорт Путешествия Игры Юмор

Интересные видео

2025 Сериалы Трейлеры Новости Как сделать Видеоуроки Diy своими руками

Топ запросов

смотреть а4 schoolboy runaway турецкий сериал смотреть мультфильмы эдисон
Скачать

Основы комбинаторики для компьютерного программирования (с использованием кода на Python)

Автор: Begin Coding Fast

Загружено: 2025-12-20

Просмотров: 85

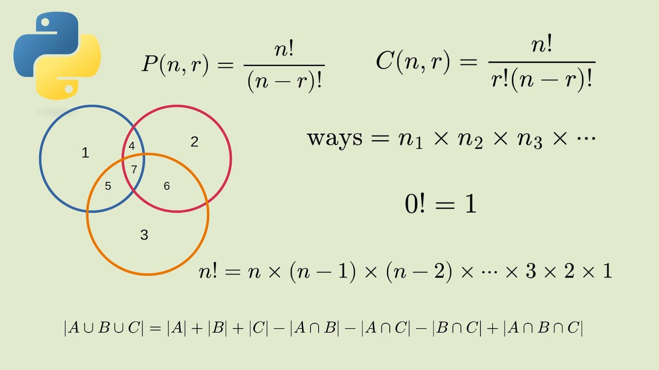
Описание: В этом видео представлен ряд фундаментальных понятий комбинаторики, полезных для программистов. Также обсуждается код на Python, соответствующий этим понятиям.

В видео рассматривается принцип подсчета и определение факториала. Также упоминается разница между перестановкой и сочетанием. Наконец, объясняется принцип включения-исключения.


0:40 - Принцип подсчета
2:19 - Факториал
5:37 - Перестановки
11:10 - Сочетания
15:40 - Принцип включения-исключения

Плейлист моего курса «Основы математики для программирования»
   • Essential mathematics for computer program...  

Плейлист моего курса по языку Go
   • Golang tutorial | Go programming language ...  

Плейлист моего курса по JavaScript
   • [20 hours] JavaScript full course for begi...  

Плейлист моего курса по HTML5 и CSS3 Учебные материалы
   • [12 hours] HTML and CSS full course for be...  

Плейлист с разбором алгоритмов
   • Algorithms and data structures | DSA cours...  

Плейлист с моим курсом по Java
   • [14 hours] Java full course for beginners ...  

Плейлист с примерами на Java
   • Java projects for beginners | Java project...  

#комбинаторика #pythonдляначинающих #начинайтекодироватьбыстро

Не удается загрузить Youtube-плеер. Проверьте блокировку Youtube в вашей сети.
Повторяем попытку...
Основы комбинаторики для компьютерного программирования (с использованием кода на Python)

Поделиться в:

Доступные форматы для скачивания:

Скачать видео

  • Информация по загрузке:

Скачать аудио

Похожие видео

Основы исчисления для программирования (с кодом Python)

Основы исчисления для программирования (с кодом Python)

Твоя ПЕРВАЯ НЕЙРОСЕТЬ на Python с нуля! | За 10 минут :3

Твоя ПЕРВАЯ НЕЙРОСЕТЬ на Python с нуля! | За 10 минут :3

Алгоритмы и структуры данных ФУНДАМЕНТАЛЬНЫЙ КУРС от А до Я. Графы, деревья, хеш таблицы и тд

Алгоритмы и структуры данных ФУНДАМЕНТАЛЬНЫЙ КУРС от А до Я. Графы, деревья, хеш таблицы и тд

Задача про надёжный пароль | В интернете опять кто-то неправ #035 | Борис Трушин и Математик Андрей

Задача про надёжный пароль | В интернете опять кто-то неправ #035 | Борис Трушин и Математик Андрей

LLM fine-tuning или ОБУЧЕНИЕ малой модели? Мы проверили!

LLM fine-tuning или ОБУЧЕНИЕ малой модели? Мы проверили!

Essential mathematics for computer programming (with Python code)

Essential mathematics for computer programming (with Python code)

Делаю нейросеть с нуля

Делаю нейросеть с нуля

Самая сложная модель из тех, что мы реально понимаем

Самая сложная модель из тех, что мы реально понимаем

Essential linear algebra for computer programming (with Python code)

Essential linear algebra for computer programming (with Python code)

Илон Маск ПОДСТАВИЛ Всех! Афера с ИИ Дата Центрами В Космосе. Скандал с Grok. Крупный Шаг OpenAI.

Илон Маск ПОДСТАВИЛ Всех! Афера с ИИ Дата Центрами В Космосе. Скандал с Grok. Крупный Шаг OpenAI.

Что такое квантовая теория

Что такое квантовая теория

Код работает в 100 раз медленнее из-за ложного разделения ресурсов.

Код работает в 100 раз медленнее из-за ложного разделения ресурсов.

Почему Собаки Вдруг ЗАЛЕЗАЮТ На Вас? (Причина шокирует)

Почему Собаки Вдруг ЗАЛЕЗАЮТ На Вас? (Причина шокирует)

Концепции программирования, которые ПЕРЕНАСТРОЙЛИ мой мозг

Концепции программирования, которые ПЕРЕНАСТРОЙЛИ мой мозг

Mongo DB v1 4k+ Boot Dev

Mongo DB v1 4k+ Boot Dev

Комплексные числа. Как мнимое стало реальным // Vital Math

Комплексные числа. Как мнимое стало реальным // Vital Math

Основы булевой алгебры для программирования (с использованием кода на Python)

Основы булевой алгебры для программирования (с использованием кода на Python)

Что такое СПИН? спин 1/2 и 3/2

Что такое СПИН? спин 1/2 и 3/2

Путин принял решение о вторжении / Резкое заявление президента

Путин принял решение о вторжении / Резкое заявление президента

ООП На Простых Примерах | Объектно-Ориентированное Программирование

ООП На Простых Примерах | Объектно-Ориентированное Программирование

© 2025 ycliper. Все права защищены.



  • Контакты
  • О нас
  • Политика конфиденциальности



Контакты для правообладателей: [email protected]