ycliper

Популярное

Музыка Кино и Анимация Автомобили Животные Спорт Путешествия Игры Юмор

Интересные видео

2025 Сериалы Трейлеры Новости Как сделать Видеоуроки Diy своими руками

Топ запросов

смотреть а4 schoolboy runaway турецкий сериал смотреть мультфильмы эдисон
Скачать

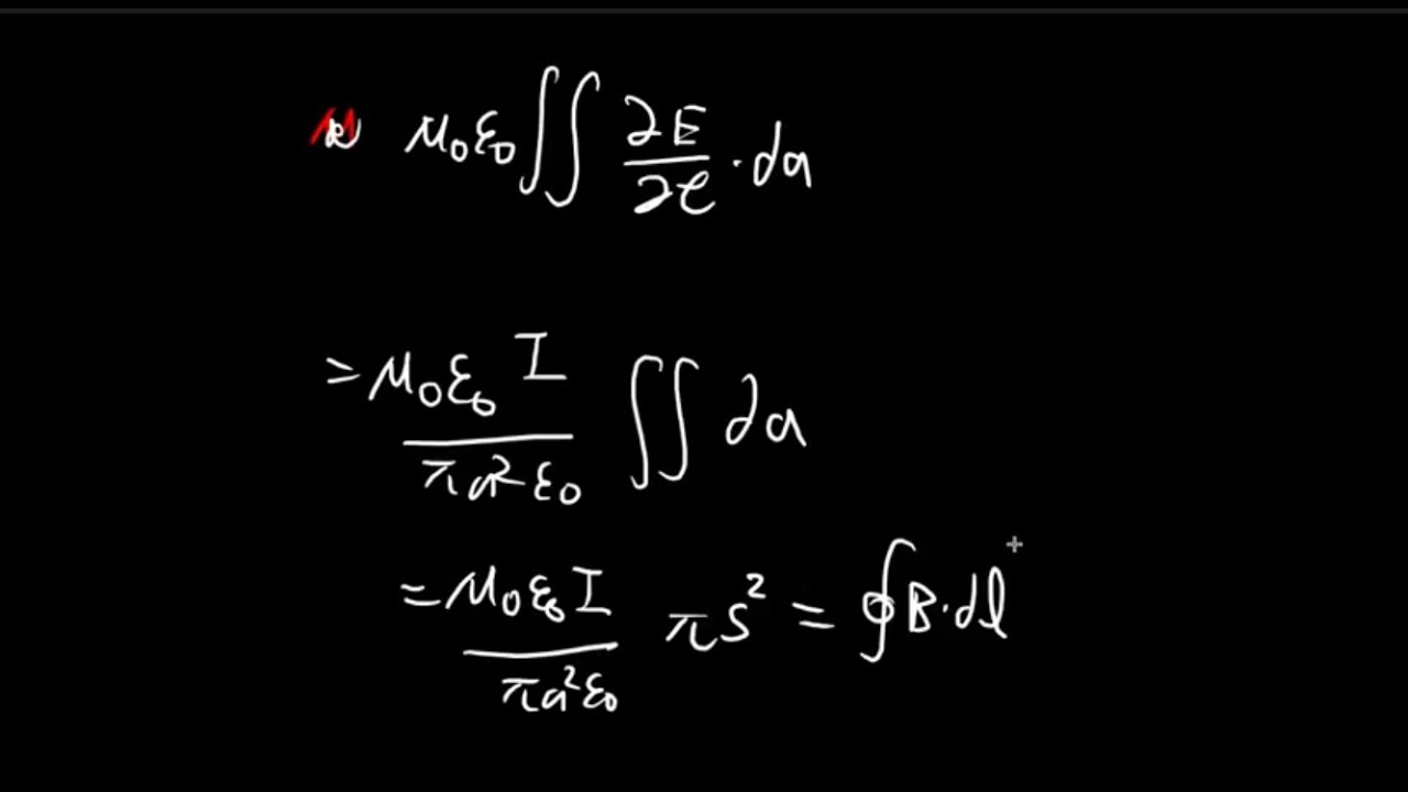
Problem 7.34 | Introduction to Electrodynamics (Griffiths)

Автор: Hayashi Manabu

Загружено: 2020-04-21

Просмотров: 6459

Описание:

Не удается загрузить Youtube-плеер. Проверьте блокировку Youtube в вашей сети.
Повторяем попытку...
Problem 7.34 | Introduction to Electrodynamics (Griffiths)

Поделиться в:

Доступные форматы для скачивания:

Скачать видео

  • Информация по загрузке:

Скачать аудио

Похожие видео

Problem 7.18 | Introduction to Electrodynamics (Griffiths)

Problem 7.18 | Introduction to Electrodynamics (Griffiths)

Electrodynamics: Maxwell's Equations 7.34

Electrodynamics: Maxwell's Equations 7.34

Задача 3.15а | Введение в электродинамику (Гриффитс)

Задача 3.15а | Введение в электродинамику (Гриффитс)

Griffiths Electrodynamics Problem 4.18: Two Dielectric Layers in a Capacitor, D, E, P, and Charge De

Griffiths Electrodynamics Problem 4.18: Two Dielectric Layers in a Capacitor, D, E, P, and Charge De

Теорема Гаусса в электростатике

Теорема Гаусса в электростатике

Понимание Z-преобразования

Понимание Z-преобразования

Расслабляющая музыка, чтобы снять стресс, беспокойство и депрессию • разум, тело #23

Расслабляющая музыка, чтобы снять стресс, беспокойство и депрессию • разум, тело #23

When a math trick turns out to be real

When a math trick turns out to be real

Визуализация внимания, сердце трансформера | Глава 6, Глубокое обучение

Визуализация внимания, сердце трансформера | Глава 6, Глубокое обучение

Electrodynamics: Maxwell's Equations Ex 7.14

Electrodynamics: Maxwell's Equations Ex 7.14

Понимание исчисления (для инженеров)

Понимание исчисления (для инженеров)

Парадокс разгибания кривой доски

Парадокс разгибания кривой доски

Объяснение электромагнитных граничных условий

Объяснение электромагнитных граничных условий

7.2.1 Пример 7

7.2.1 Пример 7

Задача из вступительных Стэнфорда

Задача из вступительных Стэнфорда

Electrodynamics:  Inductance Griffiths 7.27

Electrodynamics: Inductance Griffiths 7.27

Пожалуй, главное заблуждение об электричестве [Veritasium]

Пожалуй, главное заблуждение об электричестве [Veritasium]

Электроника: Урок 1 — Основы

Электроника: Урок 1 — Основы

Побег из Кандагара | Обмануть талибов и угнать собственный самолёт (English subtitles) @Максим Кац

Побег из Кандагара | Обмануть талибов и угнать собственный самолёт (English subtitles) @Максим Кац

Четыре коротких увлекательных фильма о физике и математике

Четыре коротких увлекательных фильма о физике и математике

© 2025 ycliper. Все права защищены.



  • Контакты
  • О нас
  • Политика конфиденциальности



Контакты для правообладателей: [email protected]