ycliper

Популярное

Музыка Кино и Анимация Автомобили Животные Спорт Путешествия Игры Юмор

Интересные видео

2025 Сериалы Трейлеры Новости Как сделать Видеоуроки Diy своими руками

Топ запросов

смотреть а4 schoolboy runaway турецкий сериал смотреть мультфильмы эдисон
Скачать

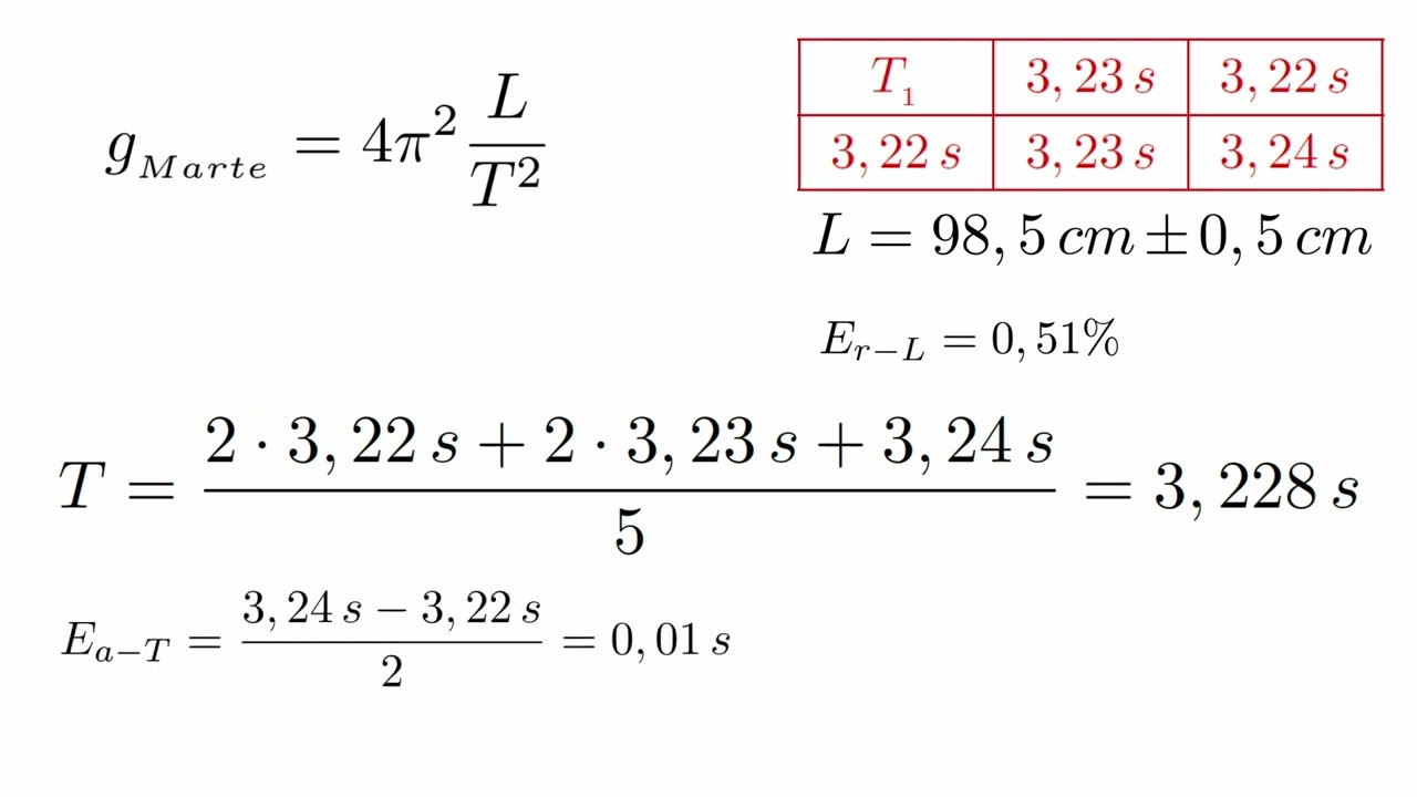
Esercizio svolto Lab0001 dal sito "Maledetta Fisica": un esperimento finto per misurare g_Marte

Автор: Maledetta Fisica

Загружено: 2023-05-21

Просмотров: 248

Описание: L'esperimento è tecnicamente valido, ma ovviamente i dati sono del tutto inventati. E' solo un modo per fare esercizio sulla gestione degli errori di misura assoluto e relativo, e sulla propagazione deli errori. Ovviamente vi esorto a farlo qui sulla Terra e calcolare l'accelerazione dei gravità della Terra.

Не удается загрузить Youtube-плеер. Проверьте блокировку Youtube в вашей сети.
Повторяем попытку...
Esercizio svolto Lab0001 dal sito "Maledetta Fisica": un esperimento finto per misurare g_Marte

Поделиться в:

Доступные форматы для скачивания:

Скачать видео

  • Информация по загрузке:

Скачать аудио

Похожие видео

Relatività ristretta: esercizio R0034 svolto e commentato

Relatività ristretta: esercizio R0034 svolto e commentato

L'incertezza di una misura [errore assoluto]

L'incertezza di una misura [errore assoluto]

Propagazione degli errori: esercitazione

Propagazione degli errori: esercitazione

La misura   Esercizi (errore assoluto, errore relativo, cifre significative)

La misura Esercizi (errore assoluto, errore relativo, cifre significative)

Парадокс разгибания кривой доски

Парадокс разгибания кривой доски

Misure dirette

Misure dirette

Самый короткий тест на интеллект Задача Массачусетского профессора

Самый короткий тест на интеллект Задача Массачусетского профессора

7 самых опасных продуктов на завтрак, 98% едят это каждый день.

7 самых опасных продуктов на завтрак, 98% едят это каждый день.

Теорема Гаусса в электростатике

Теорема Гаусса в электростатике

Где начало СХЕМЫ? Понимаем, читаем, изучаем схемы. Понятное объяснение!

Где начало СХЕМЫ? Понимаем, читаем, изучаем схемы. Понятное объяснение!

Тест на МУЗЫКАЛЬНУЮ ОДАРЕННОСТЬ: 100% точный результат! Проверьте себя

Тест на МУЗЫКАЛЬНУЮ ОДАРЕННОСТЬ: 100% точный результат! Проверьте себя

Но почему площадь поверхности сферы в четыре раза больше ее тени?

Но почему площадь поверхности сферы в четыре раза больше ее тени?

6 упражнений, которые ЯПОНЦЫ делают, чтобы УДВОИТЬ СИЛУ НОГ после 60 🦵🚀

6 упражнений, которые ЯПОНЦЫ делают, чтобы УДВОИТЬ СИЛУ НОГ после 60 🦵🚀

Unia Europejska upadnie? Co dalej z Europą?

Unia Europejska upadnie? Co dalej z Europą?

Вылечи эту мышцу в шее. Четкое зрение, ясная голова, пройдет боль, хороший кровоток к мозгу.

Вылечи эту мышцу в шее. Четкое зрение, ясная голова, пройдет боль, хороший кровоток к мозгу.

SERIE DI MISURE  : Intervallo di Confidenza; Valore medio; Errore assoluto, relativo e percentuale

SERIE DI MISURE : Intervallo di Confidenza; Valore medio; Errore assoluto, relativo e percentuale

Dal gatto di Schrodinger   al Quantum bit dei computer quantistici

Dal gatto di Schrodinger al Quantum bit dei computer quantistici

ГЕНИАЛЬНАЯ Граната Вермахта: Почему ОДИН СОЛДАТ с Ней Был ОПАСНЕЕ Танка?

ГЕНИАЛЬНАЯ Граната Вермахта: Почему ОДИН СОЛДАТ с Ней Был ОПАСНЕЕ Танка?

НИКОГДА НЕ ЕШЬТЕ ГРЕЦКИЕ ОРЕХИ ТАК ПОСЛЕ 55 ЛЕТ — ПЕЧЕНЬ СТРАДАЕТ МОЛЧА | ЗДОРОВЬЕ ДАРОМ

НИКОГДА НЕ ЕШЬТЕ ГРЕЦКИЕ ОРЕХИ ТАК ПОСЛЕ 55 ЛЕТ — ПЕЧЕНЬ СТРАДАЕТ МОЛЧА | ЗДОРОВЬЕ ДАРОМ

Почему люди сжигают вышки 5G? Вся правда о «смертельном» излучении

Почему люди сжигают вышки 5G? Вся правда о «смертельном» излучении

© 2025 ycliper. Все права защищены.



  • Контакты
  • О нас
  • Политика конфиденциальности



Контакты для правообладателей: [email protected]