ycliper

Популярное

Музыка Кино и Анимация Автомобили Животные Спорт Путешествия Игры Юмор

Интересные видео

2025 Сериалы Трейлеры Новости Как сделать Видеоуроки Diy своими руками

Топ запросов

смотреть а4 schoolboy runaway турецкий сериал смотреть мультфильмы эдисон
Скачать

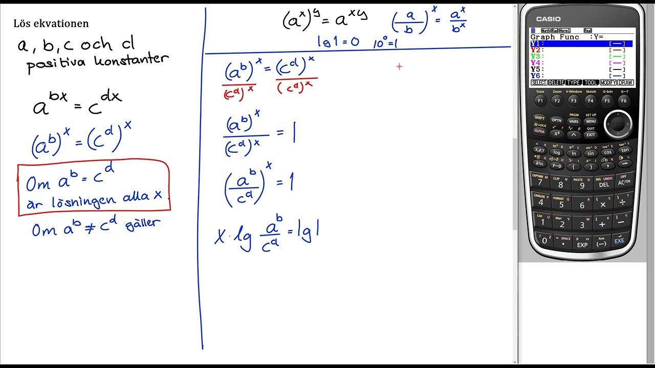
Matematik 5000+ 2c Uppgift 2418 a för reviderad ämnesplan 2021

Автор: Fredrik Lindmark

Загружено: 2022-09-04

Просмотров: 8047

Описание: För att lättare hitta rätt film gå till min hemsida: https://fredrikfilmer.wixsite.com/filmer
För att stödja min kanal gå hit: https://fredrikfilmer.wixsite.com/fil...
Miniräknaren jag använder i de nyare uppgiften är en CASIO fx-CG 50.
I de äldre uppgifterna använder jag en Texas Instruments TI-82 STATS

Не удается загрузить Youtube-плеер. Проверьте блокировку Youtube в вашей сети.
Повторяем попытку...
Matematik 5000+ 2c Uppgift 2418 a för reviderad ämnesplan 2021

Поделиться в:

Доступные форматы для скачивания:

Скачать видео

  • Информация по загрузке:

Скачать аудио

Похожие видео

Matematik 5000+ 2c Uppgift 2418 b för reviderad ämnesplan 2021

Matematik 5000+ 2c Uppgift 2418 b för reviderad ämnesplan 2021

Matematik 5000+ 2c Uppgift 2419 d v2 för reviderad ämnesplan 2021

Matematik 5000+ 2c Uppgift 2419 d v2 för reviderad ämnesplan 2021

Matte 2c blandade övningar kap 2 uppgift 18

Matte 2c blandade övningar kap 2 uppgift 18

Matematik 5000+ 2c rev. ämnesplan Kap 2.4 Tillämpningar och problemlösning Sid 124

Matematik 5000+ 2c rev. ämnesplan Kap 2.4 Tillämpningar och problemlösning Sid 124

Бесконечно вложенные радикалы | Два способа решения

Бесконечно вложенные радикалы | Два способа решения

Matematik 5000+ 2c 2437

Matematik 5000+ 2c 2437

Самая Сложная Задача В Истории Самой Сложной Олимпиады

Самая Сложная Задача В Истории Самой Сложной Олимпиады

Таймер 2 Часа

Таймер 2 Часа

Гаокао: ЕГЭ по-китайски. Самый сложный экзамен в мире?

Гаокао: ЕГЭ по-китайски. Самый сложный экзамен в мире?

Matematik 5000+ 2c Uppgift 2429 a v2 för reviderad ämnesplan 2021

Matematik 5000+ 2c Uppgift 2429 a v2 för reviderad ämnesplan 2021

Теория музыки за 20 минут | ВСЕ что нужно знать

Теория музыки за 20 минут | ВСЕ что нужно знать

Савватеев разоблачает фокусы Земскова

Савватеев разоблачает фокусы Земскова

Matematik 5000+ 2c Uppgift 2435 v2 för reviderad ämnesplan 2021

Matematik 5000+ 2c Uppgift 2435 v2 för reviderad ämnesplan 2021

Matematik 5000+ 2abc 2311

Matematik 5000+ 2abc 2311

Взрыв на объекте США / Экстренная посадка самолёта

Взрыв на объекте США / Экстренная посадка самолёта

Знакомство с клавиатурой. Лучшее в мире объяснение

Знакомство с клавиатурой. Лучшее в мире объяснение

Matematik 2. LOGARITMER. Vad är en logaritm och hur fungerar 10-logaritmer?

Matematik 2. LOGARITMER. Vad är en logaritm och hur fungerar 10-logaritmer?

Matematik 2c - Kapitel 2 - 2.3 Mer om logaritmer

Matematik 2c - Kapitel 2 - 2.3 Mer om logaritmer

Matematik 5000+ 2c Uppgift 2439 v2 för reviderad ämnesplan 2021

Matematik 5000+ 2c Uppgift 2439 v2 för reviderad ämnesplan 2021

Matematik 5000+ 2c Uppgift 2272 a v2 för reviderad ämnesplan 2021

Matematik 5000+ 2c Uppgift 2272 a v2 för reviderad ämnesplan 2021

© 2025 ycliper. Все права защищены.



  • Контакты
  • О нас
  • Политика конфиденциальности



Контакты для правообладателей: [email protected]