ycliper

Популярное

Музыка Кино и Анимация Автомобили Животные Спорт Путешествия Игры Юмор

Интересные видео

2025 Сериалы Трейлеры Новости Как сделать Видеоуроки Diy своими руками

Топ запросов

смотреть а4 schoolboy runaway турецкий сериал смотреть мультфильмы эдисон
Скачать

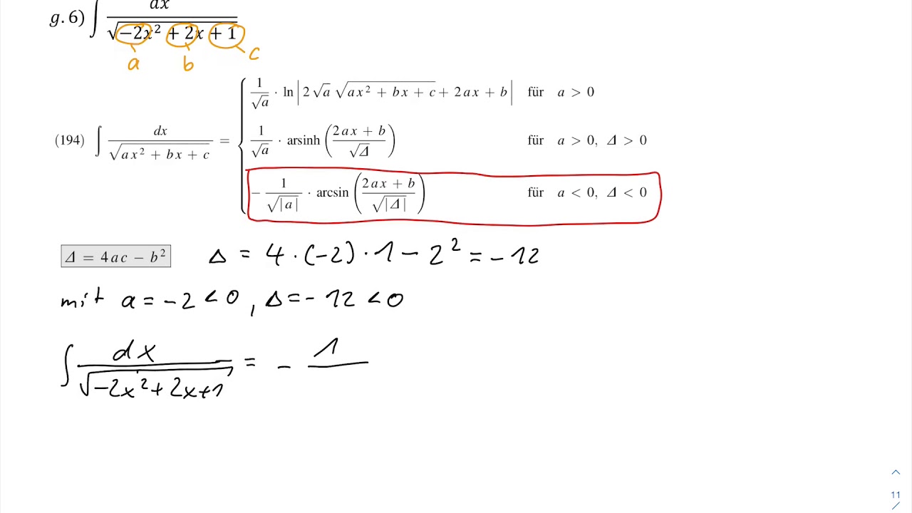
Übungsblatt2 Aufgaben g - Integration mit Hilfe von Integraltafeln

Автор: Dr.-Ing. Denis Busch

Загружено: 2020-04-14

Просмотров: 1325

Описание: Übung zur Vorlesung Mathematik 2 im Fachbereich Bau- und Umweltingenieurwesen an der Hochschule Bochum
Integration mit Hilfe von Integraltafeln

Не удается загрузить Youtube-плеер. Проверьте блокировку Youtube в вашей сети.
Повторяем попытку...
Übungsblatt2 Aufgaben g - Integration mit Hilfe von Integraltafeln

Поделиться в:

Доступные форматы для скачивания:

Скачать видео

  • Информация по загрузке:

Скачать аудио

Похожие видео

Übungsblatt2 Aufgabe a3 – partielle Integration

Übungsblatt2 Aufgabe a3 – partielle Integration

Wie verwendet man Integraltafeln  WDZH 29

Wie verwendet man Integraltafeln WDZH 29

Uneigentliches Integral, unbekannte Grenze | Mathe by Daniel Jung

Uneigentliches Integral, unbekannte Grenze | Mathe by Daniel Jung

Mathematik 2 Bachelor - Übung 2 - Integrationstechniken

Mathematik 2 Bachelor - Übung 2 - Integrationstechniken

Олимпиадная Задача на Упрощение | Как Избежать Ловушек в Виде Квадратных Корней и Дробных Выражений

Олимпиадная Задача на Упрощение | Как Избежать Ловушек в Виде Квадратных Корней и Дробных Выражений

Übungsblatt2 Aufgabe f6 - Integration per Partialbruchzerlegung

Übungsblatt2 Aufgabe f6 - Integration per Partialbruchzerlegung

Durchbiegung berechnen mithilfe von Tabellen, Aufgabe – Technische Mechanik 2

Durchbiegung berechnen mithilfe von Tabellen, Aufgabe – Technische Mechanik 2

WDZH - Kurze Erklärvideos zur Baustatik

WDZH - Kurze Erklärvideos zur Baustatik

$1 vs $1,000,000,000 Футуристических Технологий!

$1 vs $1,000,000,000 Футуристических Технологий!

Задача из вступительных Стэнфорда

Задача из вступительных Стэнфорда

Übungsblatt2 Aufgabe b10 –Integration per Substitution

Übungsblatt2 Aufgabe b10 –Integration per Substitution

Для Чего РЕАЛЬНО Нужен был ГОРБ Boeing 747?

Для Чего РЕАЛЬНО Нужен был ГОРБ Boeing 747?

Integration By Partial Fractions

Integration By Partial Fractions

Переговоры провалились / Срочная переброска войск

Переговоры провалились / Срочная переброска войск

Übungsblatt2 Aufgabe a1 - partielle Integration

Übungsblatt2 Aufgabe a1 - partielle Integration

Переговоры России, Украины и США в Абу-Даби: что известно. Массированный удар по Украине | Новости

Переговоры России, Украины и США в Абу-Даби: что известно. Массированный удар по Украине | Новости

JAKUCK, ROSJA 2026: PRZETRWANIE W TEMPERATURZE -71°C! - NAJZIMNIEJSZE MIASTO NA ŚWIECIE DOKUMENTALNY

JAKUCK, ROSJA 2026: PRZETRWANIE W TEMPERATURZE -71°C! - NAJZIMNIEJSZE MIASTO NA ŚWIECIE DOKUMENTALNY

Oberflächen Integrale

Oberflächen Integrale

Integralrechnung, Flächen-/Volumenberechnung, Analysis

Integralrechnung, Flächen-/Volumenberechnung, Analysis

Матан. Пределы для успешной сдачи зачёта | TutorOnline Математика

Матан. Пределы для успешной сдачи зачёта | TutorOnline Математика

© 2025 ycliper. Все права защищены.



  • Контакты
  • О нас
  • Политика конфиденциальности



Контакты для правообладателей: [email protected]