ycliper

Популярное

Музыка Кино и Анимация Автомобили Животные Спорт Путешествия Игры Юмор

Интересные видео

2025 Сериалы Трейлеры Новости Как сделать Видеоуроки Diy своими руками

Топ запросов

смотреть а4 schoolboy runaway турецкий сериал смотреть мультфильмы эдисон
Скачать

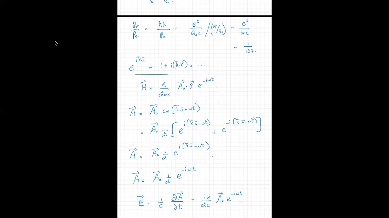
PH 504: Quantum Mechanics II. Lecture 19 B.

Автор: Baradhwaj Coleppa

Загружено: 2021-03-20

Просмотров: 92

Описание:

Не удается загрузить Youtube-плеер. Проверьте блокировку Youtube в вашей сети.
Повторяем попытку...
PH 504: Quantum Mechanics II. Lecture 19 B.

Поделиться в:

Доступные форматы для скачивания:

Скачать видео

  • Информация по загрузке:

Скачать аудио

Похожие видео

PH 504: Quantum Mechanics II. Lecture 20.

PH 504: Quantum Mechanics II. Lecture 20.

Теренс Тао о том, как Григорий Перельман решил гипотезу Пуанкаре | Лекс Фридман

Теренс Тао о том, как Григорий Перельман решил гипотезу Пуанкаре | Лекс Фридман

Владимир Пастухов* и Алексей Венедиктов*. Пастуховские четверги / 08.01.26

Владимир Пастухов* и Алексей Венедиктов*. Пастуховские четверги / 08.01.26

Что такое квантовая теория

Что такое квантовая теория

Электричество, магнетизм и оптика

Электричество, магнетизм и оптика

Митохондрия. Энергия для жизни всех организмов. Проблемы естественного отбора

Митохондрия. Энергия для жизни всех организмов. Проблемы естественного отбора

Дерек уходит из Veritasium?

Дерек уходит из Veritasium?

Мифы о кофе

Мифы о кофе

PH 504: Quantum Mechanics II. Lecture 1

PH 504: Quantum Mechanics II. Lecture 1

PH 504: Quantum Mechanics II. Lecture 27.

PH 504: Quantum Mechanics II. Lecture 27.

Александр Панов. Вопросы, которые никто не задавал

Александр Панов. Вопросы, которые никто не задавал

КОЗЫРЕВ - астрофизик ДОКАЗАЛ, что ВРЕМЯ это ЭНЕРГИЯ: дважды СИДЕЛ, приговорён к РАССТРЕЛУ

КОЗЫРЕВ - астрофизик ДОКАЗАЛ, что ВРЕМЯ это ЭНЕРГИЯ: дважды СИДЕЛ, приговорён к РАССТРЕЛУ

Ночные пробуждения в 3–4 часа: как найти причину и вернуть глубокий сон.

Ночные пробуждения в 3–4 часа: как найти причину и вернуть глубокий сон.

Чем ОПАСЕН МАХ? Разбор приложения специалистом по кибер безопасности

Чем ОПАСЕН МАХ? Разбор приложения специалистом по кибер безопасности

Вояджеры умирают, но успели передать ТАКОЕ... NASA была в шоке

Вояджеры умирают, но успели передать ТАКОЕ... NASA была в шоке

Хитрое неравенство, которое не решается в лоб

Хитрое неравенство, которое не решается в лоб

Обман века: Ракеты, которых нет

Обман века: Ракеты, которых нет

Эффект наблюдателя – полное объяснение без мистики.

Эффект наблюдателя – полное объяснение без мистики.

Урок 3 (осн). Физические величины и единицы их измерения

Урок 3 (осн). Физические величины и единицы их измерения

В Туринской плащанице найден код ДНК, изучив его, ученые потеряли да речи…

В Туринской плащанице найден код ДНК, изучив его, ученые потеряли да речи…

© 2025 ycliper. Все права защищены.



  • Контакты
  • О нас
  • Политика конфиденциальности



Контакты для правообладателей: [email protected]