ycliper

Популярное

Музыка Кино и Анимация Автомобили Животные Спорт Путешествия Игры Юмор

Интересные видео

2025 Сериалы Трейлеры Новости Как сделать Видеоуроки Diy своими руками

Топ запросов

смотреть а4 schoolboy runaway турецкий сериал смотреть мультфильмы эдисон
Скачать

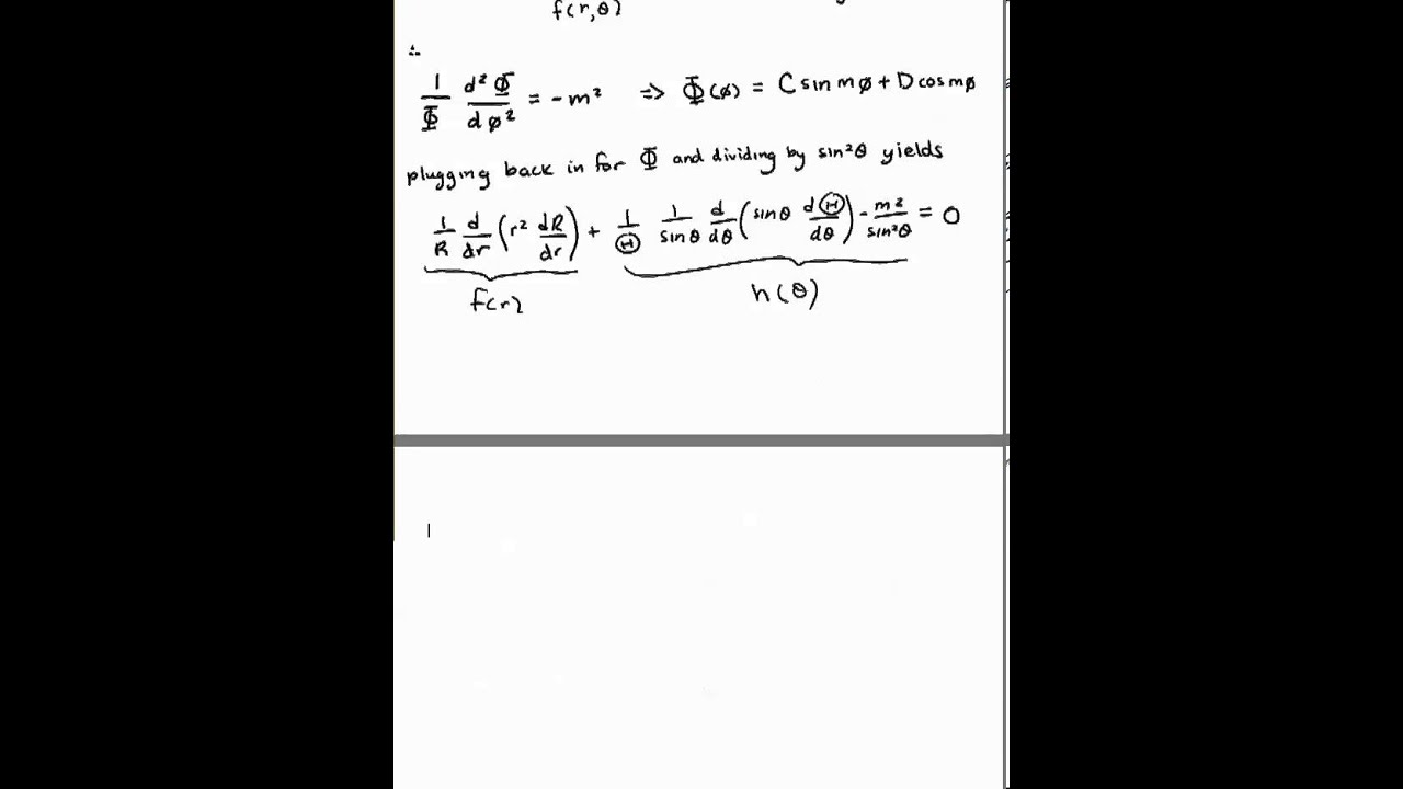
M481 Lecture 2: Solving LaPlace's Equation in Polar Coordinates

Автор: Ryan Lukeman

Загружено: 2020-03-24

Просмотров: 9691

Описание:

Не удается загрузить Youtube-плеер. Проверьте блокировку Youtube в вашей сети.
Повторяем попытку...
M481 Lecture 2: Solving LaPlace's Equation in Polar Coordinates

Поделиться в:

Доступные форматы для скачивания:

Скачать видео

  • Информация по загрузке:

Скачать аудио

Похожие видео

M481 Lecture 3: Solving Poisson's Equation

M481 Lecture 3: Solving Poisson's Equation

Уравнение Лапласа в частных производных в круговой области, решенное в полярных координатах

Уравнение Лапласа в частных производных в круговой области, решенное в полярных координатах

M481 Lecture 1: LaPlace's Equation in Polar Coordinates: end of derivation

M481 Lecture 1: LaPlace's Equation in Polar Coordinates: end of derivation

PDE 101: Separation of Variables! ...or how I learned to stop worrying and solve Laplace's equation

PDE 101: Separation of Variables! ...or how I learned to stop worrying and solve Laplace's equation

M481 Lecture 4: Wave Equation in 2D rectangle

M481 Lecture 4: Wave Equation in 2D rectangle

Solving Laplace Equation in spherical coordinates part 1

Solving Laplace Equation in spherical coordinates part 1

The Laplacian in Polar Coordinates

The Laplacian in Polar Coordinates

Laplace Equation

Laplace Equation

4 Hours Chopin for Studying, Concentration & Relaxation

4 Hours Chopin for Studying, Concentration & Relaxation

07. Solving the Heat Equation with Dirichlet Boundary Conditions

07. Solving the Heat Equation with Dirichlet Boundary Conditions

Но что такое нейронная сеть? | Глава 1. Глубокое обучение

Но что такое нейронная сеть? | Глава 1. Глубокое обучение

Laplace's Equation on a Disc - Partial Differential Equations | Lecture 10

Laplace's Equation on a Disc - Partial Differential Equations | Lecture 10

But what is the Fourier Transform?  A visual introduction.

But what is the Fourier Transform? A visual introduction.

Самая Сложная Задача В Истории Самой Сложной Олимпиады

Самая Сложная Задача В Истории Самой Сложной Олимпиады

Separation of Variables for Laplace's equation in spherical coordinates, no azimuthal symmetry

Separation of Variables for Laplace's equation in spherical coordinates, no azimuthal symmetry

Оксфордский анализ: разделимые решения уравнений в частных производных

Оксфордский анализ: разделимые решения уравнений в частных производных

The Most Useful Curve in Mathematics [Logarithms]

The Most Useful Curve in Mathematics [Logarithms]

Вывод формулы Пуассона для уравнения Лапласа на единичном круге: комплексный ряд Фурье!

Вывод формулы Пуассона для уравнения Лапласа на единичном круге: комплексный ряд Фурье!

Почему Питер Шольце — математик, каких бывает раз в поколение?

Почему Питер Шольце — математик, каких бывает раз в поколение?

Heat Equation

Heat Equation

© 2025 ycliper. Все права защищены.



  • Контакты
  • О нас
  • Политика конфиденциальности



Контакты для правообладателей: [email protected]