ycliper

Популярное

Музыка Кино и Анимация Автомобили Животные Спорт Путешествия Игры Юмор

Интересные видео

2025 Сериалы Трейлеры Новости Как сделать Видеоуроки Diy своими руками

Топ запросов

смотреть а4 schoolboy runaway турецкий сериал смотреть мультфильмы эдисон
Скачать

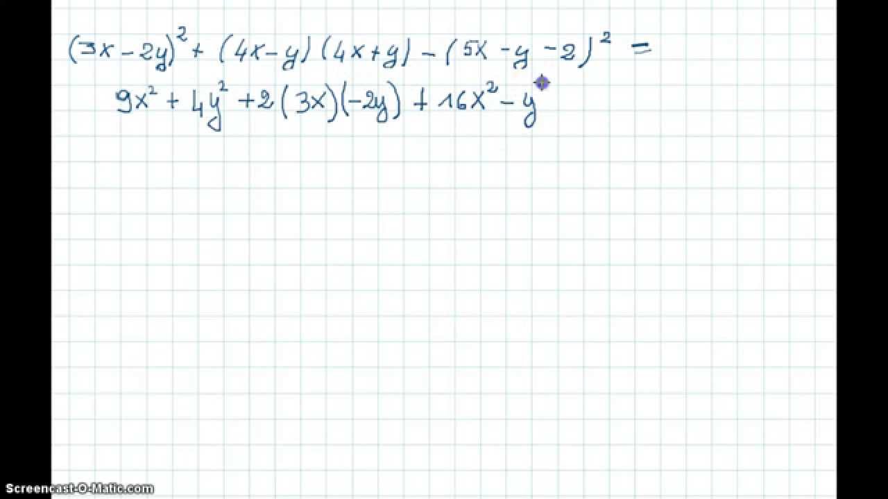
Espressione con i prodotti notevoli

Автор: michele Carpentieri

Загружено: 2017-12-29

Просмотров: 178

Описание: Risoluzione di una semplice espressione con i prodotti notevoli.

Не удается загрузить Youtube-плеер. Проверьте блокировку Youtube в вашей сети.
Повторяем попытку...
Espressione con i prodotti notevoli

Поделиться в:

Доступные форматы для скачивания:

Скачать видео

  • Информация по загрузке:

Скачать аудио

Похожие видео

Semplificare Espressioni con Prodotti Notevoli

Semplificare Espressioni con Prodotti Notevoli

Espressione con prodotti notevoli - Terza  Media [Tutorial per genitori]

Espressione con prodotti notevoli - Terza Media [Tutorial per genitori]

Prodotti Notevoli : Quadrato di un Binomio e Somma per Differenza

Prodotti Notevoli : Quadrato di un Binomio e Somma per Differenza

Espressione con prodotti notevoli

Espressione con prodotti notevoli

КАК ЗАПОМНИТЬ ТРИГОНОМЕТРИЧЕСКИЕ ФОРМУЛЫ

КАК ЗАПОМНИТЬ ТРИГОНОМЕТРИЧЕСКИЕ ФОРМУЛЫ

Espressioni con Prodotti Notevoli 1

Espressioni con Prodotti Notevoli 1

Савватеев разоблачает фокусы Земскова

Савватеев разоблачает фокусы Земскова

Задача из вступительных Стэнфорда

Задача из вступительных Стэнфорда

Преподы в ШОКЕ! ИЛЬИЧ получил 2 БАЛЛА за неравенство на ЕГЭ2024

Преподы в ШОКЕ! ИЛЬИЧ получил 2 БАЛЛА за неравенство на ЕГЭ2024

Задача века решена!

Задача века решена!

Зарешали уже с этим примером

Зарешали уже с этим примером

Решение линейных неравенств с одной переменной, содержащих переменную под знаком модуля. 6 класс.

Решение линейных неравенств с одной переменной, содержащих переменную под знаком модуля. 6 класс.

Espressioni( prodotti notevoli)

Espressioni( prodotti notevoli)

Крутой прием решения геометрических задач

Крутой прием решения геометрических задач

Четыре года войны. Что стало с Россией, обществом, экономикой и какие вещи дают надежду

Четыре года войны. Что стало с Россией, обществом, экономикой и какие вещи дают надежду

Вот почему ты НЕ ПОНИМАЕШЬ МАТЕМАТИКУ

Вот почему ты НЕ ПОНИМАЕШЬ МАТЕМАТИКУ

ВСЯ ТРИГОНОМЕТРИЯ ЗА 20 МИНУТ БЕЗ ЗУБРЕЖКИ!

ВСЯ ТРИГОНОМЕТРИЯ ЗА 20 МИНУТ БЕЗ ЗУБРЕЖКИ!

Вся алгебра с нуля: подготовка к ОГЭ по математике | Умскул

Вся алгебра с нуля: подготовка к ОГЭ по математике | Умскул

Комплексные числа. Как мнимое стало реальным // Vital Math

Комплексные числа. Как мнимое стало реальным // Vital Math

Espressione con polinomi e prodotti notevoli (quadrato del binomio e somma per differenza)

Espressione con polinomi e prodotti notevoli (quadrato del binomio e somma per differenza)

© 2025 ycliper. Все права защищены.



  • Контакты
  • О нас
  • Политика конфиденциальности



Контакты для правообладателей: [email protected]