ycliper

Популярное

Музыка Кино и Анимация Автомобили Животные Спорт Путешествия Игры Юмор

Интересные видео

2025 Сериалы Трейлеры Новости Как сделать Видеоуроки Diy своими руками

Топ запросов

смотреть а4 schoolboy runaway турецкий сериал смотреть мультфильмы эдисон
Скачать

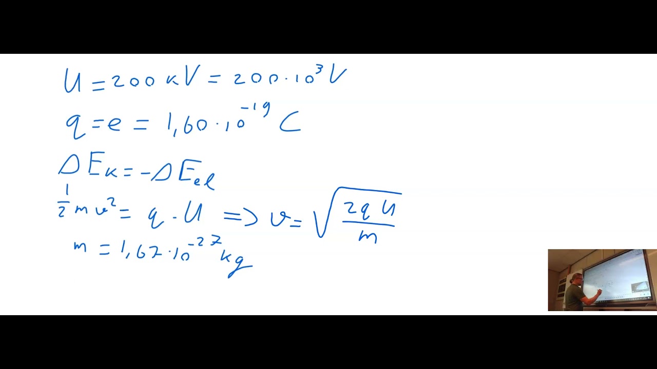
Lineaire deeltjesversneller: deeltjes versnellen in een rechte lijn.

Автор: Loran de Vries

Загружено: 2020-05-20

Просмотров: 722

Описание:

Не удается загрузить Youtube-плеер. Проверьте блокировку Youtube в вашей сети.
Повторяем попытку...
Lineaire deeltjesversneller: deeltjes versnellen in een rechte lijn.

Поделиться в:

Доступные форматы для скачивания:

Скачать видео

  • Информация по загрузке:

Скачать аудио

Похожие видео

natuurkunde uitleg LINEAIRE DEELTJES VERSNELLER

natuurkunde uitleg LINEAIRE DEELTJES VERSNELLER

Natuurkundeles 12.3 Deeltjes elektrisch versnellen (begrijpen)

Natuurkundeles 12.3 Deeltjes elektrisch versnellen (begrijpen)

Rekenen naar het verleden

Rekenen naar het verleden

Lineaire deeltjes versneller

Lineaire deeltjes versneller

Versnellen en detecteren

Versnellen en detecteren

Dune: Part Three | Official Teaser Trailer

Dune: Part Three | Official Teaser Trailer

MVI_0304.mp4

MVI_0304.mp4

What is Compton Scattering?

What is Compton Scattering?

Как работает сталкивающий атомы ускоритель? – Дон Линкольн

Как работает сталкивающий атомы ускоритель? – Дон Линкольн

Visualizing the 4d numbers Quaternions

Visualizing the 4d numbers Quaternions

Elektriciteit en magnetisme 1: lading en de wet van Coulomb

Elektriciteit en magnetisme 1: lading en de wet van Coulomb

10 ужасающих истин об реальности, раскрытых теорией относительности Эйнштейна

10 ужасающих истин об реальности, раскрытых теорией относительности Эйнштейна

HOE WERKT EEN DEELTJESVERSNELLER? // Willem Wever // #27

HOE WERKT EEN DEELTJESVERSNELLER? // Willem Wever // #27

natuurkunde uitleg CYCLOTRON

natuurkunde uitleg CYCLOTRON

But what is the Fourier Transform?  A visual introduction.

But what is the Fourier Transform? A visual introduction.

Закон Бернулли

Закон Бернулли

Natuurkunde uitleg Elektriciteit 22: Elektrische Velden

Natuurkunde uitleg Elektriciteit 22: Elektrische Velden

Магия транзисторов: как мы научили компьютеры думать с помощью кусочков кремния?

Магия транзисторов: как мы научили компьютеры думать с помощью кусочков кремния?

ТАКОЕ НЕ ПОКАЖУТ В ВУЗах-  Как работают и для чего нужны транзисторы ? Что такое PN переход?

ТАКОЕ НЕ ПОКАЖУТ В ВУЗах- Как работают и для чего нужны транзисторы ? Что такое PN переход?

Электричество НЕ течёт по проводам — тревожное открытие Ричарда Фейнмана

Электричество НЕ течёт по проводам — тревожное открытие Ричарда Фейнмана

© 2025 ycliper. Все права защищены.



  • Контакты
  • О нас
  • Политика конфиденциальности



Контакты для правообладателей: [email protected]