ycliper

Популярное

Музыка Кино и Анимация Автомобили Животные Спорт Путешествия Игры Юмор

Интересные видео

2025 Сериалы Трейлеры Новости Как сделать Видеоуроки Diy своими руками

Топ запросов

смотреть а4 schoolboy runaway турецкий сериал смотреть мультфильмы эдисон
Скачать

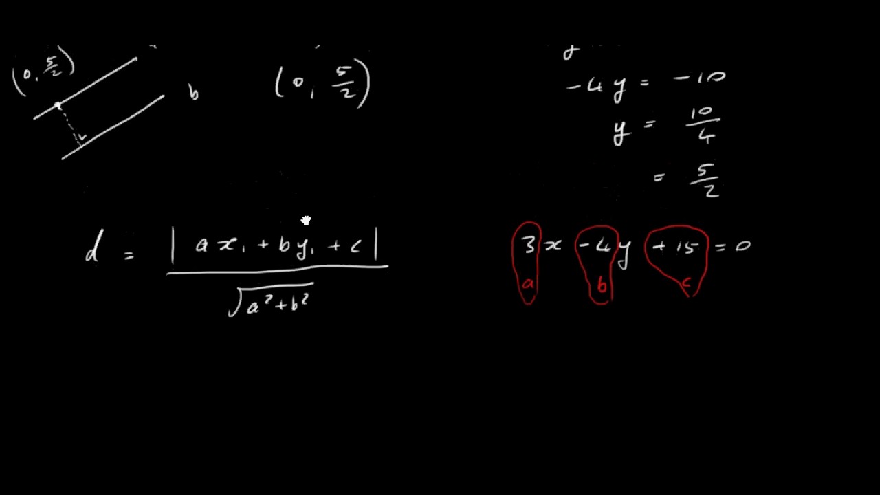
Distance from a point to a line examples

Автор: MolloyMaths

Загружено: 2017-04-01

Просмотров: 435

Описание:

Не удается загрузить Youtube-плеер. Проверьте блокировку Youtube в вашей сети.
Повторяем попытку...
Distance from a point to a line examples

Поделиться в:

Доступные форматы для скачивания:

Скачать видео

  • Информация по загрузке:

Скачать аудио

Похожие видео

The angle between two lines Examples

The angle between two lines Examples

Задача Британской олимпиады по математике 1995 года

Задача Британской олимпиады по математике 1995 года

Все Функции и Графики: Прямая, Парабола, Гипербола, Окружность, Корень, Модули, Сдвиги для Чайников

Все Функции и Графики: Прямая, Парабола, Гипербола, Окружность, Корень, Модули, Сдвиги для Чайников

Крутой прием решения геометрических задач

Крутой прием решения геометрических задач

Как повернуть любой график на любой угол

Как повернуть любой график на любой угол

Задача из вступительных Стэнфорда

Задача из вступительных Стэнфорда

Подобие треугольников — постулаты AA SSS SAS и AAA, доказательство подобия треугольников, доказат...

Подобие треугольников — постулаты AA SSS SAS и AAA, доказательство подобия треугольников, доказат...

Самое красивое уравнение

Самое красивое уравнение

Для Чего РЕАЛЬНО Нужен был ГОРБ Boeing 747?

Для Чего РЕАЛЬНО Нужен был ГОРБ Boeing 747?

Арестович: Грозит ли Украине эскалация войны? Дневник войны.

Арестович: Грозит ли Украине эскалация войны? Дневник войны.

✓ Тригонометрия: с нуля и до ЕГЭ | #ТрушинLive #030 | Борис Трушин

✓ Тригонометрия: с нуля и до ЕГЭ | #ТрушинLive #030 | Борис Трушин

«ЭТО НЕ ПРОСТО ЦЕННОСТИ — ЭТО СУВЕРЕНИТЕТ»: пронзительная речь Захаровой, от которой в зале молчали

«ЭТО НЕ ПРОСТО ЦЕННОСТИ — ЭТО СУВЕРЕНИТЕТ»: пронзительная речь Захаровой, от которой в зале молчали

Теория музыки за 20 минут | ВСЕ что нужно знать

Теория музыки за 20 минут | ВСЕ что нужно знать

⚡️ Зеленский срочно готовит ответный удар || Президент извинился перед народом

⚡️ Зеленский срочно готовит ответный удар || Президент извинился перед народом

Equations of Tangents to Circles 3

Equations of Tangents to Circles 3

Шиз поясняет. Гайд на пределы

Шиз поясняет. Гайд на пределы

✓ Теоремы о среднем. Теоремы Ролля, Лагранжа, Коши | матан #037 | Борис Трушин

✓ Теоремы о среднем. Теоремы Ролля, Лагранжа, Коши | матан #037 | Борис Трушин

coordinating the plane

coordinating the plane

Задача века решена!

Задача века решена!

Лукашенко про Трампа: В открытую говорит: ему надо нефть! // БЕЛДЖИ, памятники и Европа

Лукашенко про Трампа: В открытую говорит: ему надо нефть! // БЕЛДЖИ, памятники и Европа

© 2025 ycliper. Все права защищены.



  • Контакты
  • О нас
  • Политика конфиденциальности



Контакты для правообладателей: [email protected]