ycliper

Популярное

Музыка Кино и Анимация Автомобили Животные Спорт Путешествия Игры Юмор

Интересные видео

2025 Сериалы Трейлеры Новости Как сделать Видеоуроки Diy своими руками

Топ запросов

смотреть а4 schoolboy runaway турецкий сериал смотреть мультфильмы эдисон
Скачать

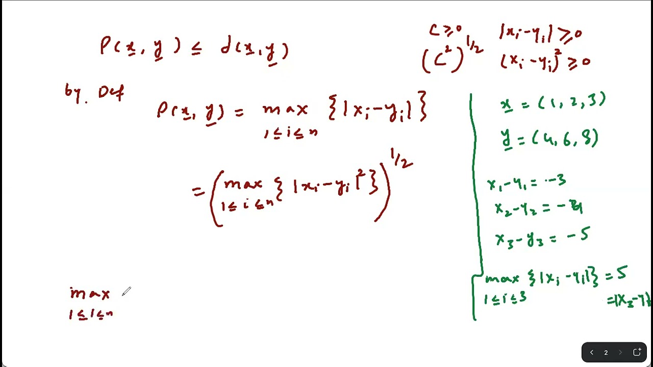
Euclidean metric and square metric on R^{n} induced same topology

Автор: Shamsa Ishaq

Загружено: 2024-11-18

Просмотров: 418

Описание: This video explain the prove that the topologies induced by the square metric and Euclidean metric are same in R^{n}.

Не удается загрузить Youtube-плеер. Проверьте блокировку Youtube в вашей сети.
Повторяем попытку...
Euclidean metric and square metric on R^{n} induced same topology

Поделиться в:

Доступные форматы для скачивания:

Скачать видео

  • Информация по загрузке:

Скачать аудио

Похожие видео

Comparison of square metric and Euclidean metric on R^{n}(Lecture 2)

Comparison of square metric and Euclidean metric on R^{n}(Lecture 2)

The Uniform Metric - Comparison with Box and Product | Topology

The Uniform Metric - Comparison with Box and Product | Topology

Метрическая топология — определение и примеры | Топология

Метрическая топология — определение и примеры | Топология

Factorisation Part 3 | Class 8 Exercise 12.3 Q1,Q2,Q3 | Algebra| बीजगणित | Division| Amrinder ma'am

Factorisation Part 3 | Class 8 Exercise 12.3 Q1,Q2,Q3 | Algebra| बीजगणित | Division| Amrinder ma'am

Factorisation Part 4 | Class 8 Exercise 12.3 Q4 and Q5| Algebra| बीजगणित | Division| Amrinder ma'am

Factorisation Part 4 | Class 8 Exercise 12.3 Q4 and Q5| Algebra| बीजगणित | Division| Amrinder ma'am

What is a Topological Embedding?

What is a Topological Embedding?

How to find Matrix adjoint and Matrix cofactors

How to find Matrix adjoint and Matrix cofactors

Metric Spaces 1: Definition and Examples

Metric Spaces 1: Definition and Examples

Are these two spaces connected? | Topology

Are these two spaces connected? | Topology

Комплексные числа: коротко и понятно – Алексей Савватеев | Лекции по математике | Научпоп

Комплексные числа: коротко и понятно – Алексей Савватеев | Лекции по математике | Научпоп

7  ПАРАДОКСОВ БЕСКОНЕЧНОСТИ

7 ПАРАДОКСОВ БЕСКОНЕЧНОСТИ

Почему вода ЗАМЕРЗАЕТ? Ответ Ричард Фейнман разрушит вашу реальность

Почему вода ЗАМЕРЗАЕТ? Ответ Ричард Фейнман разрушит вашу реальность

Привет, Джордж Оруэлл. Привет, «1984». Привет с Урала. Алексей Савватеев

Привет, Джордж Оруэлл. Привет, «1984». Привет с Урала. Алексей Савватеев

Теория струн (ScienceClic)

Теория струн (ScienceClic)

The Product Topology - Examples and Properties with Proofs | Topology

The Product Topology - Examples and Properties with Proofs | Topology

Визуализация гравитации

Визуализация гравитации

Трапеция-ловушка

Трапеция-ловушка

Самая простая нерешённая задача — гипотеза Коллатца [Veritasium]

Самая простая нерешённая задача — гипотеза Коллатца [Veritasium]

15 lagu hits terbaik coldplay🎵 || Daftar putar lagu-lagu terbaik Coldplay 2023

15 lagu hits terbaik coldplay🎵 || Daftar putar lagu-lagu terbaik Coldplay 2023

Эффект Джанибекова [Veritasium]

Эффект Джанибекова [Veritasium]

© 2025 ycliper. Все права защищены.



  • Контакты
  • О нас
  • Политика конфиденциальности



Контакты для правообладателей: [email protected]