ycliper

Популярное

Музыка Кино и Анимация Автомобили Животные Спорт Путешествия Игры Юмор

Интересные видео

2025 Сериалы Трейлеры Новости Как сделать Видеоуроки Diy своими руками

Топ запросов

смотреть а4 schoolboy runaway турецкий сериал смотреть мультфильмы эдисон
Скачать

【中3 数学】平方完成を使って解く②

Автор: NPO法人eboard:映像授業で勉強を応援!

Загружено: 2022-03-11

Просмотров: 1097

Описание: ・すべての動画・問題集の一覧:https://www.eboard.jp/list/
・活動へのご支援:https://info.eboard.jp/donation/
毎月10万人以上が使うeboard(イーボード)の維持費は、多くの方の寄付で成り立っています。応援のほど、よろしくお願いします。

00:00 平方完成を使って解く(復習)
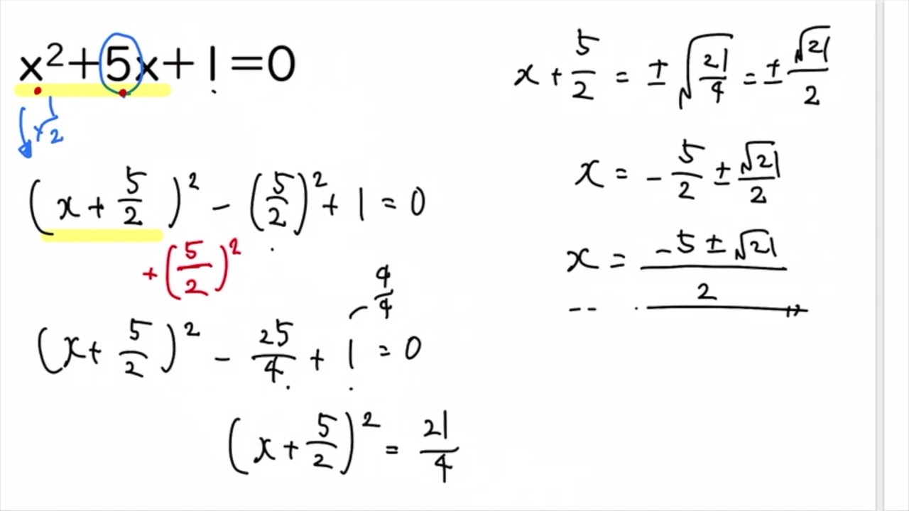
00:48 x²+5x+1=0(係数が奇数の場合)
04:06 x²-3x-3=0(係数が奇数の場合)

Не удается загрузить Youtube-плеер. Проверьте блокировку Youtube в вашей сети.
Повторяем попытку...
【中3 数学】平方完成を使って解く②

Поделиться в:

Доступные форматы для скачивания:

Скачать видео

  • Информация по загрузке:

Скачать аудио

Похожие видео

【中3 数学】解の公式を使って解く 問題

【中3 数学】解の公式を使って解く 問題

【中3 数学】二次方程式ってなに?

【中3 数学】二次方程式ってなに?

고3 수능유형 #4 (수1 로그함수)

고3 수능유형 #4 (수1 로그함수)

Хитрая советская задача. Школьники не могут решить

Хитрая советская задача. Школьники не могут решить

【面白い算数問題】中学受験 中学入試 算数 解説 成蹊中学 平面図形

【面白い算数問題】中学受験 中学入試 算数 解説 成蹊中学 平面図形

中3数学 2次関数の式の決定

中3数学 2次関数の式の決定

Этой задачей русские дети 10 лет мучили американцев. Американцы не понимали, что делают не так

Этой задачей русские дети 10 лет мучили американцев. Американцы не понимали, что делают не так

Как понять неравенства? Квадратные неравенства. Линейные и сложные неравенства | TutorOnline

Как понять неравенства? Квадратные неравенства. Линейные и сложные неравенства | TutorOnline

КОМПЛЕКСНЫЕ ЧИСЛА ДЛЯ ЧАЙНИКОВ ЗА 7 МИНУТ

КОМПЛЕКСНЫЕ ЧИСЛА ДЛЯ ЧАЙНИКОВ ЗА 7 МИНУТ

Задание из Корейской олимпиады по Математике. Решаем Норвежским способом.

Задание из Корейской олимпиады по Математике. Решаем Норвежским способом.

Для Чего РЕАЛЬНО Нужен был ГОРБ Boeing 747?

Для Чего РЕАЛЬНО Нужен был ГОРБ Boeing 747?

Самая Сложная Задача В Истории Самой Сложной Олимпиады

Самая Сложная Задача В Истории Самой Сложной Олимпиады

速報❗️『5年ぶりの元大関対決』朝乃山vs高安[ズーム]【大相撲令和8年1月場所】13日目 初場所 ASANOYAMA vs TAKAYASU [JAN2026DAY13] 2026/1/23

速報❗️『5年ぶりの元大関対決』朝乃山vs高安[ズーム]【大相撲令和8年1月場所】13日目 初場所 ASANOYAMA vs TAKAYASU [JAN2026DAY13] 2026/1/23

ЗНАМЕНИТАЯ 3АДАЧА ПРО ТРИ МОНЕТЫ! Геометрический тест.

ЗНАМЕНИТАЯ 3АДАЧА ПРО ТРИ МОНЕТЫ! Геометрический тест.

Как ОЧИСТИТЬ ПАМЯТЬ Телефона НИЧЕГО НУЖНОГО НЕ УДАЛЯЯ ? Удаляем Ненужные папки и файлы

Как ОЧИСТИТЬ ПАМЯТЬ Телефона НИЧЕГО НУЖНОГО НЕ УДАЛЯЯ ? Удаляем Ненужные папки и файлы

ПОСТУПАЕМ НА МАТФАК! Вопрос на собеседовании!

ПОСТУПАЕМ НА МАТФАК! Вопрос на собеседовании!

Как работала машина

Как работала машина "Энигма"?

Сможете решить Олимпиадное задание

Сможете решить Олимпиадное задание

Выходная головоломка Пошевели извилинами

Выходная головоломка Пошевели извилинами

Что такое дискриминант? это расстояние?

Что такое дискриминант? это расстояние?

© 2025 ycliper. Все права защищены.



  • Контакты
  • О нас
  • Политика конфиденциальности



Контакты для правообладателей: [email protected]