ycliper

Популярное

Музыка Кино и Анимация Автомобили Животные Спорт Путешествия Игры Юмор

Интересные видео

2025 Сериалы Трейлеры Новости Как сделать Видеоуроки Diy своими руками

Топ запросов

смотреть а4 schoolboy runaway турецкий сериал смотреть мультфильмы эдисон
Скачать

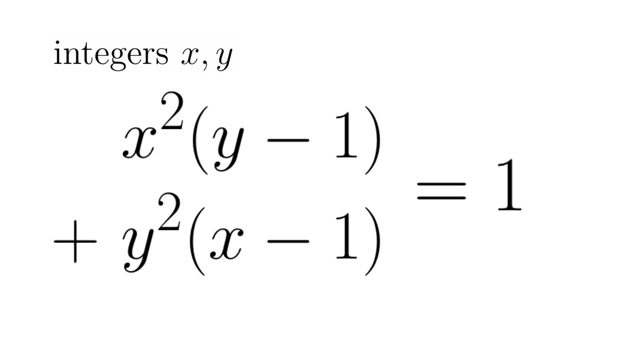
When is This Fraction an Integer?

Автор: letsthinkcritically

Загружено: 2022-09-06

Просмотров: 11060

Описание:

Не удается загрузить Youtube-плеер. Проверьте блокировку Youtube в вашей сети.
Повторяем попытку...
When is This Fraction an Integer?

Поделиться в:

Доступные форматы для скачивания:

Скачать видео

  • Информация по загрузке:

Скачать аудио

Похожие видео

A Nice and Symmetric Equation | Polish Mathematical Olympiad Second Round

A Nice and Symmetric Equation | Polish Mathematical Olympiad Second Round

When is p^2-p+1 a Cube? | Balkan MO 2005

When is p^2-p+1 a Cube? | Balkan MO 2005

Number Theory Problems

Number Theory Problems

Как найти любой КВАДРАТНЫЙ КОРЕНЬ (калькулятор не нужен)

Как найти любой КВАДРАТНЫЙ КОРЕНЬ (калькулятор не нужен)

When Can This be a Perfect Square? | Turkish National Mathematical Olympiad 2009

When Can This be a Perfect Square? | Turkish National Mathematical Olympiad 2009

An awesome geometry problem | Geometry | 6

An awesome geometry problem | Geometry | 6

Хватит дарить победы! Как убрать 50% зевков в шахматах?

Хватит дарить победы! Как убрать 50% зевков в шахматах?

A Nice Trick to Degenerate This Equation Instantly | Polish Maths Olympiad Finals 2013

A Nice Trick to Degenerate This Equation Instantly | Polish Maths Olympiad Finals 2013

Rakiety nad Dubajem i panika na stacjach. Wojna już uderza w portfele

Rakiety nad Dubajem i panika na stacjach. Wojna już uderza w portfele

HARTE TOPSPINS gegen einen der Besten Deutschen Abwehrspieler | F.Bluhm(2378) : C.Meissner(2408)

HARTE TOPSPINS gegen einen der Besten Deutschen Abwehrspieler | F.Bluhm(2378) : C.Meissner(2408)

Решение легендарной задачи 6 ММО за 8 минут | Международная математическая олимпиада 1988 года

Решение легендарной задачи 6 ММО за 8 минут | Международная математическая олимпиада 1988 года

Iran właśnie obudził śpiącego giganta po ataku na brytyjską bazę

Iran właśnie obudził śpiącego giganta po ataku na brytyjską bazę

When is This Fraction a Cube?

When is This Fraction a Cube?

Two Ways to Solve a National Maths Olympiad Problem | India National MO 1990

Two Ways to Solve a National Maths Olympiad Problem | India National MO 1990

Elegant Powers | Asian Pacific Mathematical Olympiad 2012 Problem 3

Elegant Powers | Asian Pacific Mathematical Olympiad 2012 Problem 3

Solving This Equation With One Simple Trick

Solving This Equation With One Simple Trick

Almost an IMO Problem | IMO Shortlist 2019 N2

Almost an IMO Problem | IMO Shortlist 2019 N2

Algebra Problems

Algebra Problems

Kimchi, które robi się w 10 minut! Wiosenny koreański hit - super szybki przepis

Kimchi, które robi się w 10 minut! Wiosenny koreański hit - super szybki przepis

Equation of Powers Solved With One Simple Trick | Japan MO Finals

Equation of Powers Solved With One Simple Trick | Japan MO Finals

© 2025 ycliper. Все права защищены.



  • Контакты
  • О нас
  • Политика конфиденциальности



Контакты для правообладателей: [email protected]