ycliper

Популярное

Музыка Кино и Анимация Автомобили Животные Спорт Путешествия Игры Юмор

Интересные видео

2025 Сериалы Трейлеры Новости Как сделать Видеоуроки Diy своими руками

Топ запросов

смотреть а4 schoolboy runaway турецкий сериал смотреть мультфильмы эдисон
Скачать

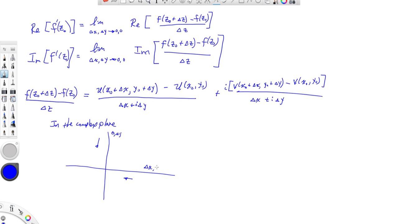
AEM 644 Westergaard Solution part I Basic Mathematics

Автор: Mechanics Channel by Mark Barkey

Загружено: 2017-02-19

Просмотров: 4103

Описание:

Не удается загрузить Youtube-плеер. Проверьте блокировку Youtube в вашей сети.
Повторяем попытку...
AEM 644  Westergaard Solution part I   Basic Mathematics

Поделиться в:

Доступные форматы для скачивания:

Скачать видео

  • Информация по загрузке:

Скачать аудио

Похожие видео

AEM 644   Westergaard Solution part II   Review of Elasticity

AEM 644 Westergaard Solution part II Review of Elasticity

AEM 644  Westergaard Solution part III   Complex Functions

AEM 644 Westergaard Solution part III Complex Functions

AEM 637 plotting plate with hole stress distribution

AEM 637 plotting plate with hole stress distribution

AEM 637 Problem 5 4 18 Part A

AEM 637 Problem 5 4 18 Part A

Theory of Elasticity

Theory of Elasticity

Alexander Grischuk vs Magnus Carlsen | Crazy Crazy Chess!

Alexander Grischuk vs Magnus Carlsen | Crazy Crazy Chess!

Теренс Тао о том, как Григорий Перельман решил гипотезу Пуанкаре | Лекс Фридман

Теренс Тао о том, как Григорий Перельман решил гипотезу Пуанкаре | Лекс Фридман

Комплексные числа. Как мнимое стало реальным // Vital Math

Комплексные числа. Как мнимое стало реальным // Vital Math

ЗАВАЛЬНОЕ УРАВНЕНИЕ!  РЕШАЕТ 8-КЛАССНИЦА!

ЗАВАЛЬНОЕ УРАВНЕНИЕ! РЕШАЕТ 8-КЛАССНИЦА!

Матан за час. Шпаргалка для первокурсника. Высшая математика

Матан за час. Шпаргалка для первокурсника. Высшая математика

Что такое квантовая теория

Что такое квантовая теория

Для Чего РЕАЛЬНО Нужен был ГОРБ Boeing 747?

Для Чего РЕАЛЬНО Нужен был ГОРБ Boeing 747?

Как правильно заводить двигатель в мороз?

Как правильно заводить двигатель в мороз?

I Played My GM Mom in an OFFICIAL Chess Tournament!!!!!

I Played My GM Mom in an OFFICIAL Chess Tournament!!!!!

Почему эллипс это сложно и не существует формулы периметра эллипса

Почему эллипс это сложно и не существует формулы периметра эллипса

7  ПАРАДОКСОВ БЕСКОНЕЧНОСТИ

7 ПАРАДОКСОВ БЕСКОНЕЧНОСТИ

ЗНАМЕНИТАЯ 3АДАЧА ПРО ТРИ МОНЕТЫ! Геометрический тест.

ЗНАМЕНИТАЯ 3АДАЧА ПРО ТРИ МОНЕТЫ! Геометрический тест.

Четыре коротких увлекательных фильма о физике и математике

Четыре коротких увлекательных фильма о физике и математике

Задача из вступительных Стэнфорда

Задача из вступительных Стэнфорда

What If You Keep Slowing Down?

What If You Keep Slowing Down?

© 2025 ycliper. Все права защищены.



  • Контакты
  • О нас
  • Политика конфиденциальности



Контакты для правообладателей: [email protected]