ycliper

Популярное

Музыка Кино и Анимация Автомобили Животные Спорт Путешествия Игры Юмор

Интересные видео

2025 Сериалы Трейлеры Новости Как сделать Видеоуроки Diy своими руками

Топ запросов

смотреть а4 schoolboy runaway турецкий сериал смотреть мультфильмы эдисон
Скачать

Å balansere redoksreaksjon i basisk løsning

Автор: Atle Vaulen Nedenes

Загружено: 2023-04-21

Просмотров: 625

Описание: Vi går trinnvis igjennom hvordan vi balanserer en redoksreaksjon - ganske lik fremgangsmåte til balansering i sur løsning.
Avslutningsvis adderes hydroksid ioner slik at løsninga blir basisk

Не удается загрузить Youtube-плеер. Проверьте блокировку Youtube в вашей сети.
Повторяем попытку...
Å balansere redoksreaksjon i basisk løsning

Поделиться в:

Доступные форматы для скачивания:

Скачать видео

  • Информация по загрузке:

Скачать аудио

Похожие видео

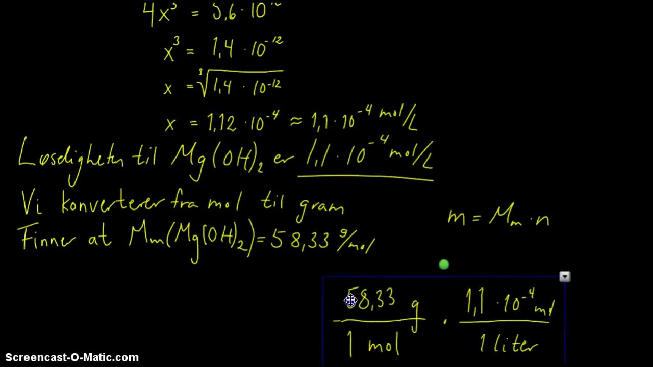
Løselighet til saltet magnesiumhydroksid

Løselighet til saltet magnesiumhydroksid

Å balansere redoksreaksjon i sur løsning

Å balansere redoksreaksjon i sur løsning

Støkiometri - begrensende reaktant

Støkiometri - begrensende reaktant

Redokstitrering - permanganat

Redokstitrering - permanganat

Kjemi 2 - Redokskjemi: Balansering

Kjemi 2 - Redokskjemi: Balansering

Spontane reaksjoner og entropi

Spontane reaksjoner og entropi

Giganci uciekają z Dubaju! Krach na giełdzie, płacz influencerów. Koniec snu?

Giganci uciekają z Dubaju! Krach na giełdzie, płacz influencerów. Koniec snu?

IRAN MINUJE ORMUZ, STATKI SIĘ PALĄ, SENATOR USA “ROZWAŻAMY INWAZJĘ LĄDOWĄ”, ROPA PO 200 USD/BARYŁKĘ

IRAN MINUJE ORMUZ, STATKI SIĘ PALĄ, SENATOR USA “ROZWAŻAMY INWAZJĘ LĄDOWĄ”, ROPA PO 200 USD/BARYŁKĘ

„Uroki włoskiej prowincji

„Uroki włoskiej prowincji " - ROBERT MAKŁOWICZ WŁOCHY odc.269

КОМОК и Слизь В ГОРЛЕ Это НЕ Простуда! Доктор Мясников

КОМОК и Слизь В ГОРЛЕ Это НЕ Простуда! Доктор Мясников

Iran ogrywa Trumpa? USA bezradne w Cieśninie Ormuz — Mariusz Borkowski i Piotr Zychowicz

Iran ogrywa Trumpa? USA bezradne w Cieśninie Ormuz — Mariusz Borkowski i Piotr Zychowicz

Pytanie o MILION! Hubert Urbański zaczął wypisywać czek i...

Pytanie o MILION! Hubert Urbański zaczął wypisywać czek i...

Jacek Bartosiak i zespół Strategy&Future o wojnie z Iranem oraz polskiej teorii zwycięstwa

Jacek Bartosiak i zespół Strategy&Future o wojnie z Iranem oraz polskiej teorii zwycięstwa

Nowa broń Iranu zmienia wojnę? Iron Dome nie powstrzymał rakiet

Nowa broń Iranu zmienia wojnę? Iron Dome nie powstrzymał rakiet

"Popieram tę decyzję". Mentzen o wecie Nawrockiego ws. SAFE

Latająca cysterna rozbita! Tankowce płoną w Cieśninie Ormuz. Co dalej? — Piotr Zychowicz Q&A

Latająca cysterna rozbita! Tankowce płoną w Cieśninie Ormuz. Co dalej? — Piotr Zychowicz Q&A

"Antek, świrze". Aż cały PiS zamilkł po słowach Sikorskiego

POGODA alarmuje! Czas uciekać z KRAJU? Tak nas ZABLOKUJĄ!

POGODA alarmuje! Czas uciekać z KRAJU? Tak nas ZABLOKUJĄ!

Butter mochi - maślane ciasto mochi - najprostsze ciasto ryżowe

Butter mochi - maślane ciasto mochi - najprostsze ciasto ryżowe

Tusk: to Kaczyński nadał ton dla weta w sprawie SAFE | PYTANIE DNIA

Tusk: to Kaczyński nadał ton dla weta w sprawie SAFE | PYTANIE DNIA

© 2025 ycliper. Все права защищены.



  • Контакты
  • О нас
  • Политика конфиденциальности



Контакты для правообладателей: [email protected]