ycliper

Популярное

Музыка Кино и Анимация Автомобили Животные Спорт Путешествия Игры Юмор

Интересные видео

2025 Сериалы Трейлеры Новости Как сделать Видеоуроки Diy своими руками

Топ запросов

смотреть а4 schoolboy runaway турецкий сериал смотреть мультфильмы эдисон
Скачать

Hydroxyl-directed 1,3 Reductions of Ketones - Organic Chemistry, Reaction Mechanism

Автор: Casual Chemistry

Загружено: 2021-09-20

Просмотров: 2906

Описание: Three named reactions in organic chemistry that are highly diastereoselective reductions of beta-hydroxyketones. This video discussed the synthetic chemistry aspects and the appropriate transition states for these kinetically controlled reactions.

#chemistry #organicchemistry #orgo #ochem #science #stem #education #learn #synthesis #chiral #stereochemistry

In complex molecule total synthesis, especially in polyketide total synthesis, it is reasonably easy to set a hydroxyl stereocentre in a specific configuration using nucleophile/electrophile organic chemistry. A really powerful C-C bond forming reaction in this context is the diastereoselective and/or enantioselective aldol reaction of enolate equivalents using, for example, soft enolisation conditions with boron Lewis acids, amongst many other options. These aldol reactions tend to be super reliable for yielding products with high stereoselectivity, and particularly well for those containing stereogenic secondardy alcohols in beta postions relative to a carbonyl group.

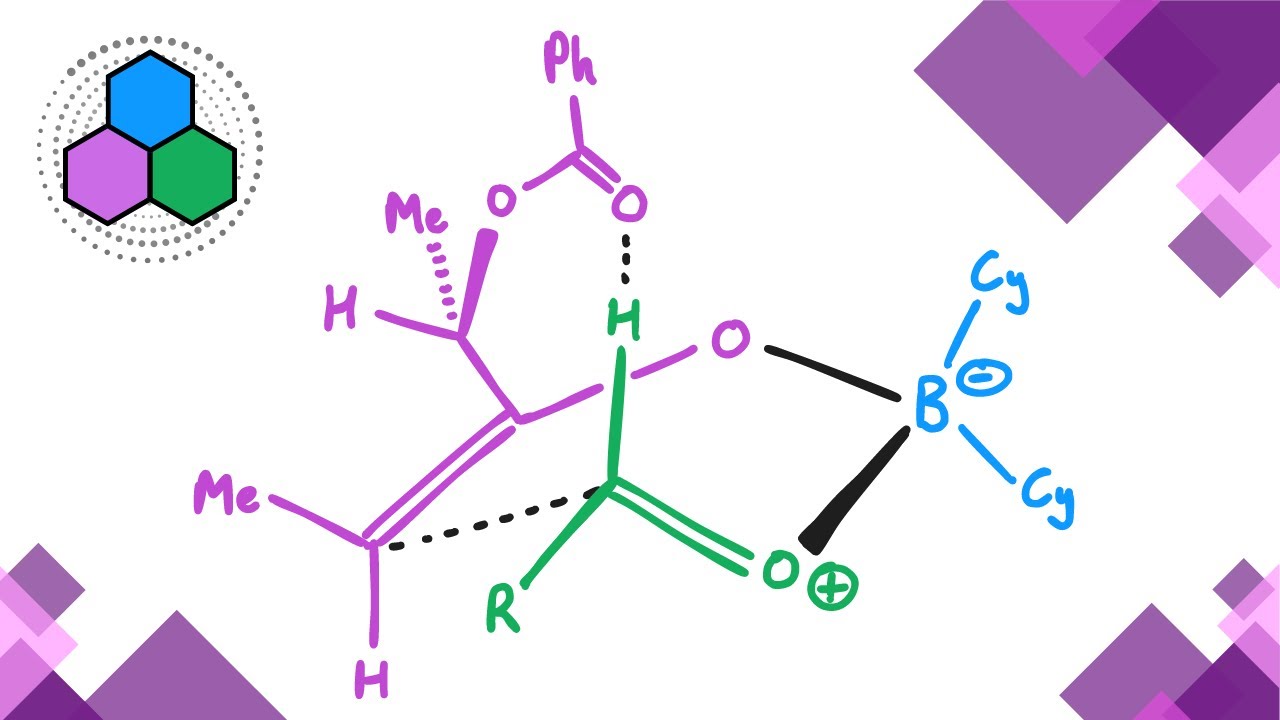
The Narasaka reduction is a 1,3-syn diastereoselective reduction of a ketone which bears a hydroxyl group in the beta position. When you treat a beta-hydroxyketone with the bidentate Lewis acid Bu2BOMe, an activated complex forms that both activates the carbonyl group towards nucleophilic attack and ties the previously acyclic system into a cyclic six-membered ring intermediate. In its lowest energy conformation, this six-membered ring will exist as a half-chair with its biggest groups in pseudo-equatorial positions to minimise transannular steric strain. When an external hydride nucleophile, such as a borohydride (BH4-), attacks this half-chair based activated carbonyl (oxycarbenium ion) the lowest energy pathway (via the lowest energy transition state) will be the one going via a chair-like transition state, rather than the competing twist-boat-like transition state for the same lowest energy conformation. This preference will lead to high diastereoselectivity for the the 1,3-syn diol product. This is model is sometimes referred to as the Furst-Plattner rule.

The next part of the video describes two types of 1,3-anti diastereoselective reductions - the Evans-Saksena reduction and the Evans-Tishchenko reduction.

The Evans-Saksena reduction involves pre-coordination of an otherwise weak reducing agent, tetramethylammonium triacetoxyborohydride (Me4NBH(OAc)3), to the beta hydroxyl stereocentre, as the acetate groups act as good leaving groups. This coordination sets up an intramolecular reaction for hydride delivery that can occur with high levels of diastereoselectivity and modelled by a Zimmerman-Traxler transition state. Putting the larger alkyl groups into the pseudo-equatorial positions minimises 1,3-diaxial strain and means that the this conformation of transition state is the lowest in energy of the possible options.

The Evans-Tishchenko reduction uses a similar idea for nucleophile tethering and intramolecular hydride delivery as the Evans-Saksena reduction, but in this case when the 1,3-anti relationship is set up between the two oxygen bearing stereocentres, the initially directing one beta to the ketone ends up furnished with an ester. The diastereoselective reduction uses samaroium diiodide (SmI2) traditionally in the presence of propionaldehyde (propanal, EtCHO) to set up a bound acetal group with the samarium acting as a Lewis acid. The reaction is very highly diastereoselective as the samarium can further chelate to the ketone that is to be reduced and activate it as a Lewis acid via a highly-ordered 6,6-bicyclic structure.

Не удается загрузить Youtube-плеер. Проверьте блокировку Youtube в вашей сети.
Повторяем попытку...
Hydroxyl-directed 1,3 Reductions of Ketones - Organic Chemistry, Reaction Mechanism

Поделиться в:

Доступные форматы для скачивания:

Скачать видео

  • Информация по загрузке:

Скачать аудио

Похожие видео

Nobel Prize in Chemistry 2021 Part 1, Asymmetric Organocatalysis, Enantioselective Organic Chemistry

Nobel Prize in Chemistry 2021 Part 1, Asymmetric Organocatalysis, Enantioselective Organic Chemistry

Alkene Epoxidation Reaction Mechanism - Peroxy Acid MCPBA

Alkene Epoxidation Reaction Mechanism - Peroxy Acid MCPBA

Evans Auxiliaries and a Friend for Aldol Reactions

Evans Auxiliaries and a Friend for Aldol Reactions

Making a Synthesis Stereoselective

Making a Synthesis Stereoselective

Discover the Magic of the Evans–Saksena Reduction!

Discover the Magic of the Evans–Saksena Reduction!

Кто обитает в глубинах океана? Существа, о которых мы НИЧЕГО не знаем. Александр Осадчиев

Кто обитает в глубинах океана? Существа, о которых мы НИЧЕГО не знаем. Александр Осадчиев

Как власть следит за россиянами в интернете?

Как власть следит за россиянами в интернете?

От Трампа отвернулись союзники. Как президент США сам себе «подложил свинью». Екатерина Котрикадзе

От Трампа отвернулись союзники. Как президент США сам себе «подложил свинью». Екатерина Котрикадзе

Kinetic vs Thermodynamic Product - 1,2 vs 1,4 Addition of HBr to 1,3-  Butadiene

Kinetic vs Thermodynamic Product - 1,2 vs 1,4 Addition of HBr to 1,3- Butadiene

Начальство: безвозвратные потери. Статус S09E28

Начальство: безвозвратные потери. Статус S09E28

Почему растут цены? Как Путин и «Единая Россия» издеваются над народом

Почему растут цены? Как Путин и «Единая Россия» издеваются над народом

Музыка лечит сердце и сосуды🌸 Успокаивающая музыка восстанавливает нервную систему,расслабляющая

Музыка лечит сердце и сосуды🌸 Успокаивающая музыка восстанавливает нервную систему,расслабляющая

Рекордные атаки ВСУ городов и предприятий | Военный обзор Юрия Фёдорова

Рекордные атаки ВСУ городов и предприятий | Военный обзор Юрия Фёдорова

Галлямов про наглость элиты,  уничтожение коров в Сибири и падение доверия к Путину 🎙️ Честное слово

Галлямов про наглость элиты, уничтожение коров в Сибири и падение доверия к Путину 🎙️ Честное слово

Объяснение функциональной гидроксильной группы!

Объяснение функциональной гидроксильной группы!

Ретросинтез с альдолями

Ретросинтез с альдолями

Expoxidation, Anti-Dihydroxylation, &Syn-Dihydroxylation of Alkenes | Organic Chemistry 8.7

Expoxidation, Anti-Dihydroxylation, &Syn-Dihydroxylation of Alkenes | Organic Chemistry 8.7

Solving Anti Aldol Reaction Issues

Solving Anti Aldol Reaction Issues

Алексей Венедиктов*. Без посредников / 18.03.26

Алексей Венедиктов*. Без посредников / 18.03.26

Столица парализована / Самая масштабная операция спецназа

Столица парализована / Самая масштабная операция спецназа

© 2025 ycliper. Все права защищены.



  • Контакты
  • О нас
  • Политика конфиденциальности



Контакты для правообладателей: [email protected]