ycliper

Популярное

Музыка Кино и Анимация Автомобили Животные Спорт Путешествия Игры Юмор

Интересные видео

2025 Сериалы Трейлеры Новости Как сделать Видеоуроки Diy своими руками

Топ запросов

смотреть а4 schoolboy runaway турецкий сериал смотреть мультфильмы эдисон
Скачать

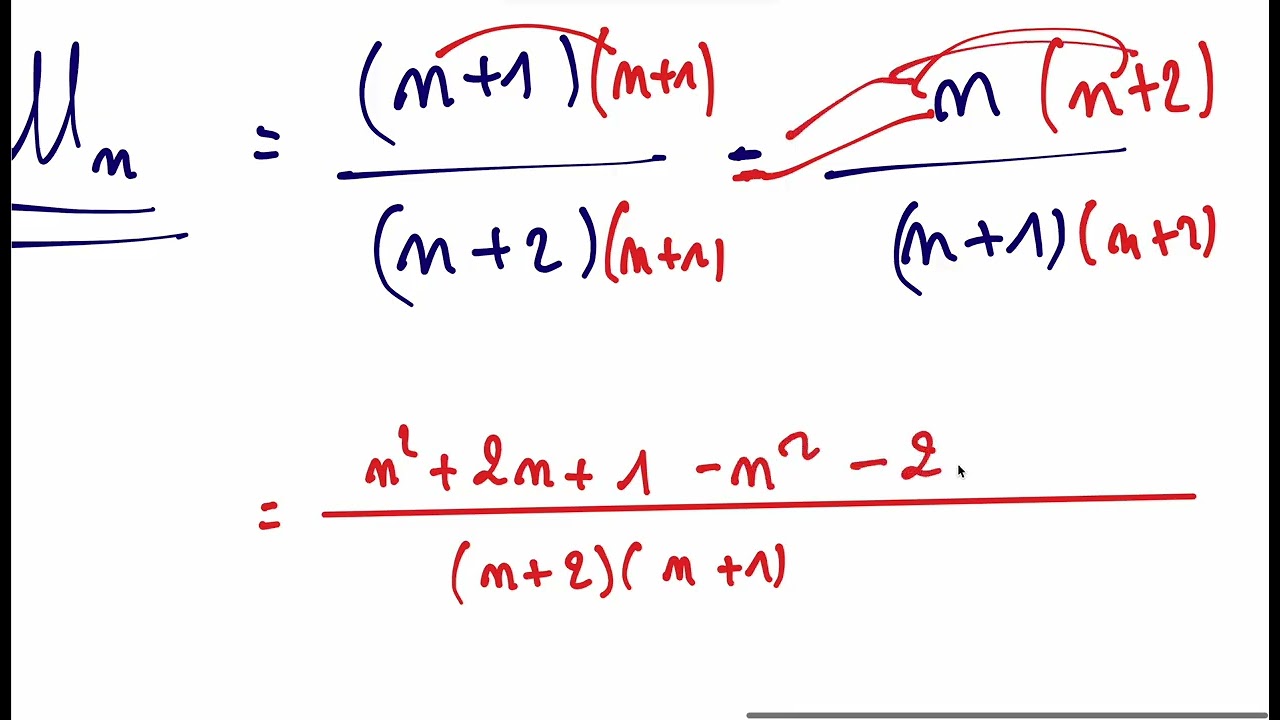
1ère Suite numérique # 3 : Sens de variation

Автор: Maths 2SPI ( M2SPI)

Загружено: 2025-12-15

Просмотров: 15

Описание: Cet exercice propose une étude systématique des cas classiques de croissance et de décroissance. Elle confronte l’élève à des suites polynomiales, rationnelles et exponentielles, afin de consolider une lecture rigoureuse du comportement d’une suite et identifier les différents cas avec une utilisation presque algorithmique du U(n+1) - Un

Не удается загрузить Youtube-плеер. Проверьте блокировку Youtube в вашей сети.
Повторяем попытку...
1ère Suite numérique # 3 : Sens de variation

Поделиться в:

Доступные форматы для скачивания:

Скачать видео

  • Информация по загрузке:

Скачать аудио

Похожие видео

Suite numérique #6 — Trois suites et étude de variations

Suite numérique #6 — Trois suites et étude de variations

1ère Suite numérique #5 : Modélisation d’une évolution

1ère Suite numérique #5 : Modélisation d’une évolution

1ère Suites numériques  #4  : Variation et encadrement

1ère Suites numériques #4 : Variation et encadrement

Espace Vectoriel #2 – Familles de vecteurs : libres ou liées ?

Espace Vectoriel #2 – Familles de vecteurs : libres ou liées ?

39p82 Dériver 4 fonctions en un éclair (composée avec carré, racine carrée, exponentielle, quotient)

39p82 Dériver 4 fonctions en un éclair (composée avec carré, racine carrée, exponentielle, quotient)

1ère Suite numérique # 2 : Deux suites liées

1ère Suite numérique # 2 : Deux suites liées

Задача из вступительных Стэнфорда

Задача из вступительных Стэнфорда

ИСПОРЧЕННЫЙ ШЕДЕВР Доммараджу Гукеша | Вейк-ан-Зее 2026 (1 тур) | Шахматы

ИСПОРЧЕННЫЙ ШЕДЕВР Доммараджу Гукеша | Вейк-ан-Зее 2026 (1 тур) | Шахматы

Комплексные числа. Как мнимое стало реальным // Vital Math

Комплексные числа. Как мнимое стало реальным // Vital Math

Эта Хитрая Задача С Мехмата Завалила Сотни! Решишь?

Эта Хитрая Задача С Мехмата Завалила Сотни! Решишь?

ЧТО ТАКОЕ ГОМЕОМОРФИЗМЫ, И ТАК ЛИ СЛОЖНА ТОПОЛОГИЯ КАК КАЖЕТСЯ

ЧТО ТАКОЕ ГОМЕОМОРФИЗМЫ, И ТАК ЛИ СЛОЖНА ТОПОЛОГИЯ КАК КАЖЕТСЯ

Bielan: Tusk nigdy nie był przeciw Mercosur. Spłaca polityczny dług wobec Niemiec   #WysokieNapięcie

Bielan: Tusk nigdy nie był przeciw Mercosur. Spłaca polityczny dług wobec Niemiec #WysokieNapięcie

Вся ВЫСШАЯ МАТЕМАТИКА за 12 ЧАСОВ с Нуля и до Формулы Тейлора! Математический Анализ 1-й Семестр!

Вся ВЫСШАЯ МАТЕМАТИКА за 12 ЧАСОВ с Нуля и до Формулы Тейлора! Математический Анализ 1-й Семестр!

1ère Suite numérique #1 — Calcul du terme suivant

1ère Suite numérique #1 — Calcul du terme suivant

1 СОВРЕМЕННАЯ АРМИЯ против 5 ВЕЛИКИХ ИМПЕРИЙ (Рим, Орда, Франция, Вермахт)

1 СОВРЕМЕННАЯ АРМИЯ против 5 ВЕЛИКИХ ИМПЕРИЙ (Рим, Орда, Франция, Вермахт)

#680 Trump uderza w Europę. Unia wstrzyma umowę. Rada Pokoju. YahooN protestuje, Ofensywa na Raqqę

#680 Trump uderza w Europę. Unia wstrzyma umowę. Rada Pokoju. YahooN protestuje, Ofensywa na Raqqę

ТЕМА 1.  ОСНОВЫ ПЕРСПЕКТИВЫ

ТЕМА 1. ОСНОВЫ ПЕРСПЕКТИВЫ

[LIVE] Dlaczego czcimy Zbrodniarzy? Andrzej Ceglarski, Jan Piński

[LIVE] Dlaczego czcimy Zbrodniarzy? Andrzej Ceglarski, Jan Piński

Как делить на НОЛЬ // Vital Math

Как делить на НОЛЬ // Vital Math

12 монет Головоломка

12 монет Головоломка

© 2025 ycliper. Все права защищены.



  • Контакты
  • О нас
  • Политика конфиденциальности



Контакты для правообладателей: [email protected]