ycliper

Популярное

Музыка Кино и Анимация Автомобили Животные Спорт Путешествия Игры Юмор

Интересные видео

2025 Сериалы Трейлеры Новости Как сделать Видеоуроки Diy своими руками

Топ запросов

смотреть а4 schoolboy runaway турецкий сериал смотреть мультфильмы эдисон
Скачать

Complex Variables and Applications (8E) - Brown/Churchill. Ex 29.1, 30.1, 2: Exponential/Logarithmic

Автор: MathWU悟数

Загружено: 2026-01-31

Просмотров: 8

Описание: Complex Variables and Applications (8th Ed) - James Ward Brown and Ruel V. Churchill
Ch 3: Elementary Functions
29: The Exponential Function

Ex 1: Show that
(a) exp(2 + 3 pi i) = -e^2, exp(2 - 3 pi i) = -e^2;
(b) exp((2 + pi i)/4) = sqrt{e/2} (1 + i);
(c) exp(z + pi i) = -exp z.

30: The Logarithmic Function
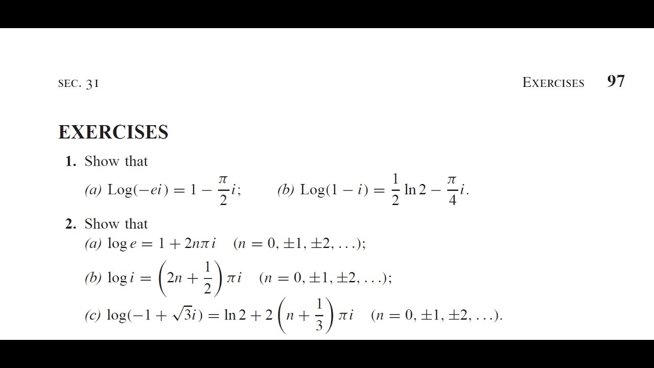
31: Branches and Derivatives of Logarithms

Ex 1: Show that
(a) Log(-ei) = 1 - pi i/2;
(b) Log(1 - i) = (1/2) ln(2) - pi i/4.

Ex 2: Show that
(a) log(e) = 1 + 2n pi i, n in Z;
(b) log(i) = (2n + 1/2)pi i, n in Z;
(c) log(-1 + sqrt{3}i) = ln(2) + 2(n + 1/3)pi i, n in Z.

Remark: In this textbook, arg z is the argument of the complex number z and Arg z is the principal value of the argument of z defined in (-pi, pi]. And log z is the multiple-valued logarithmic function and Log z is the principal branch of log z defined in (-pi, pi]. The relations
arg z = Arg z + 2n pi,
log z = Log z + i(2n pi),
where n ranges over all the integers.

Не удается загрузить Youtube-плеер. Проверьте блокировку Youtube в вашей сети.
Повторяем попытку...
Complex Variables and Applications (8E) - Brown/Churchill. Ex 29.1, 30.1, 2: Exponential/Logarithmic

Поделиться в:

Доступные форматы для скачивания:

Скачать видео

  • Информация по загрузке:

Скачать аудио

Похожие видео

MECZ IMIENIA WYSOKIEJ OBRONY! YAMAL PROWADZI BARCĘ DO ZWYCIĘSTWA! ELCHE – BARCELONA, SKRÓT MECZU

MECZ IMIENIA WYSOKIEJ OBRONY! YAMAL PROWADZI BARCĘ DO ZWYCIĘSTWA! ELCHE – BARCELONA, SKRÓT MECZU

Spór o nominacje ambasadorskie na linii Sikorski-Nawrocki | WORONICZA 17 | 1.02.2026

Spór o nominacje ambasadorskie na linii Sikorski-Nawrocki | WORONICZA 17 | 1.02.2026

Carlos Alcaraz v Novak Djokovic Highlights | Australian Open 2026 Final

Carlos Alcaraz v Novak Djokovic Highlights | Australian Open 2026 Final

Rozbicie wiru polarnego. Gwałtowne ocieplenie stratosferyczne. Zimny luty i marzec? Wpływ na zimę.

Rozbicie wiru polarnego. Gwałtowne ocieplenie stratosferyczne. Zimny luty i marzec? Wpływ na zimę.

Rządy Tuska się sypią? Koalicja na włosku i powrót scenariusza rządu technicznego | Ziemkiewicz

Rządy Tuska się sypią? Koalicja na włosku i powrót scenariusza rządu technicznego | Ziemkiewicz

2026 Australian Open Mens Singles Final trophy presentation | Wide World of Sports

2026 Australian Open Mens Singles Final trophy presentation | Wide World of Sports

Выживи 99 Ночей, Выиграй $99,000

Выживи 99 Ночей, Выиграй $99,000

WIELKI KRACH na SREBRZE, OSZUSTWO na RAIL BALTICA i NOWY PREZES FED! #BizWeek

WIELKI KRACH na SREBRZE, OSZUSTWO na RAIL BALTICA i NOWY PREZES FED! #BizWeek

7. Dzień Tygodnia w Radiu ZET. Zaprasza Andrzej Stankiewicz!

7. Dzień Tygodnia w Radiu ZET. Zaprasza Andrzej Stankiewicz!

Novak Djokovic Press Conference | Australian Open 2026 Final

Novak Djokovic Press Conference | Australian Open 2026 Final

Changing the subject of a formula updated with examples similar to HW questions

Changing the subject of a formula updated with examples similar to HW questions

USA i Chiny rozdają karty. Dlaczego Europa przegrywa globalny wyścig technologiczny | Ziemkiewicz

USA i Chiny rozdają karty. Dlaczego Europa przegrywa globalny wyścig technologiczny | Ziemkiewicz

Polska 2050 bez Hołowni? Telenowela, która może wstrząsnąć koalicją | Salonik Ziemkiewicza

Polska 2050 bez Hołowni? Telenowela, która może wstrząsnąć koalicją | Salonik Ziemkiewicza

HILARIOUS Novak Djokovic pays tribute to Carlos Alcaraz after Australian Open final heartbreak ❤️

HILARIOUS Novak Djokovic pays tribute to Carlos Alcaraz after Australian Open final heartbreak ❤️

Novak Djokovic On-Court Interview | Australian Open 2026 Final

Novak Djokovic On-Court Interview | Australian Open 2026 Final

Prawda vs Mity o Kraju środka. Prof. Jacoby tłumaczy współczesne Chiny

Prawda vs Mity o Kraju środka. Prof. Jacoby tłumaczy współczesne Chiny

On-Court Interview: EMOTIONAL Novak Djokovic reflects on his incredible win against Jannik Sinner 🥹

On-Court Interview: EMOTIONAL Novak Djokovic reflects on his incredible win against Jannik Sinner 🥹

Carlos Alcaraz hails Novak Djokovic & Rafa Nadal after winning the Australian Open title 🏆

Carlos Alcaraz hails Novak Djokovic & Rafa Nadal after winning the Australian Open title 🏆

Carlos Alcaraz On-Court Interview | Australian Open 2026 Final

Carlos Alcaraz On-Court Interview | Australian Open 2026 Final

Match Point | Carlos Alcaraz Wins EPIC Semifinal Against Alexander Zverev | Australian Open 2026

Match Point | Carlos Alcaraz Wins EPIC Semifinal Against Alexander Zverev | Australian Open 2026

© 2025 ycliper. Все права защищены.



  • Контакты
  • О нас
  • Политика конфиденциальности



Контакты для правообладателей: [email protected]